М
Молодежь
К
Компьютеры-и-электроника
Д
Дом-и-сад
С
Стиль-и-уход-за-собой
П
Праздники-и-традиции
Т
Транспорт
П
Путешествия
С
Семейная-жизнь
Ф
Философия-и-религия
Б
Без категории
М
Мир-работы
Х
Хобби-и-рукоделие
И
Искусство-и-развлечения
В
Взаимоотношения
З
Здоровье
К
Кулинария-и-гостеприимство
Ф
Финансы-и-бизнес
П
Питомцы-и-животные
О
Образование
О
Образование-и-коммуникации
гулллллл
гулллллл
06.12.2020 14:22 •  Математика

Срасписанием каждого действия

👇
Ответ:
misarevakin6
misarevakin6
06.12.2020

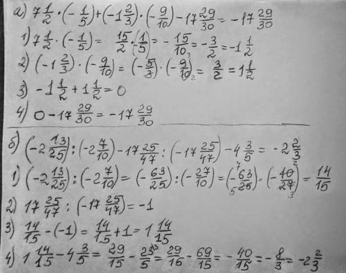
Решение на фотографии


Срасписанием каждого действия
4,7(44 оценок)
Ответ:
bviktoria4567
bviktoria4567
06.12.2020

ответ: во вложении Пошаговое объяснение:


Срасписанием каждого действия
4,8(62 оценок)
Открыть все ответы
Ответ:
вопрос65378
вопрос65378
06.12.2020
1) 50*20:100=1000:100=10(км/час) составляет 20%                                            2) 50+10=60(км/час) скорость после увеличения на 20%                                   3) 50*3=150(км) проехал за 3 часа                                                                     4) 60*2=120(км) проехал за 2 часа после увел.скорости                                    5) 3+2=5 часов был всего в пути                                                                       6) 150+120=270(км) проехал всего                                                                      7) 270:5=54(км/час) средняя скорость автобуса                                                 ответ: Автобус ехал  со средней скоростью в 54 Км/час           
4,7(77 оценок)
Ответ:
germandoter
germandoter
06.12.2020
Обозначим число бумов как x
а число бамов как y
тогда можно исходя из условий задачи составить два уравнения:
1) уравнение по общему числу голов:     2*x + 1*y = 33
2) уравнение по общему числу хвостов: 1*x + 3*y = 34

далее, из уравнения 1 выразим игрек: y = 33 - 2x
и, подставив это выражение в уравнение 2, найдём икс:
x + 3*(33 - 2x) = 34
x + 99 - 6x = 34
6x - x = 99 - 34
5x = 65
x = 65 / 5 = 13  -вот мы и нашли число бумов на планете

теперь вспомним, что мы выразили игрек из первого уравнения, и подставим в это выражение только что вычисленное значение икс:
y = 33 - 2x = 33 - 2*13 = 33 - 26 = 7  -вот и нашли число бамов на планете.
4,4(78 оценок)
Это интересно:
Новые ответы от MOGZ: Математика
Полный доступ к MOGZ
Живи умнее Безлимитный доступ к MOGZ Оформи подписку
logo
Вход Регистрация
Что ты хочешь узнать?
Спроси Mozg
Открыть лучший ответ