М
Молодежь
К
Компьютеры-и-электроника
Д
Дом-и-сад
С
Стиль-и-уход-за-собой
П
Праздники-и-традиции
Т
Транспорт
П
Путешествия
С
Семейная-жизнь
Ф
Философия-и-религия
Б
Без категории
М
Мир-работы
Х
Хобби-и-рукоделие
И
Искусство-и-развлечения
В
Взаимоотношения
З
Здоровье
К
Кулинария-и-гостеприимство
Ф
Финансы-и-бизнес
П
Питомцы-и-животные
О
Образование
О
Образование-и-коммуникации
Римская1
Римская1
18.12.2021 04:32 •  Математика

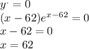
Y=(x-63)e^x-62
найдите наименьшее значение [61; 63]

👇
Ответ:
nastya12109
nastya12109
18.12.2021

-1

Пошаговое объяснение:

{y}^{.} = (x - 63) {e}^{x - 62} + {e}^{x - 62} = \\ = (x - 62) {e}^{x - 62}

экстремумы функции:

{y}^{.} = 0 \\ (x - 62) {e}^{x - 62} = 0 \\ x - 62 = 0 \\ x = 62

y<0 при x<62

y>0 при x >62

значит точка x=62 точка минимума функции.

y_{min} = y(62) = (62 - 63) {e}^{62 - 62} = \\ = (- 1 )\times {e}^{0} = - 1

4,6(7 оценок)
Открыть все ответы
Ответ:
lizochkanaumov1
lizochkanaumov1
18.12.2021

1. Масса солнца - 1,9885⋅10^30 кг

(332 940 масс Земли)

2. Созвездия — в современной астрономии участки, на которые разделена небесная сфера для удобства ориентирования на звёздном небе. В древности созвездиями назывались характерные фигуры, образуемые яркими звёздами.

Международным астрономическим союзом официально признаны 88 созвездий (из них в России видно около 54).

Если нужны только примеры пяти, то: Андромеда, Близнецы, Большая Медведица, Большой Пёс, Весы, Гидра и др.

3. Самая яркая звезда ночного неба - Сириус (α Большого Пса).

4. Эклиптика — большой круг небесной сферы, по которому происходит видимое годичное движение Солнца.

5. Небесный экватор — большой круг небесной сферы, плоскость которого перпендикулярна оси мира и совпадает с плоскостью земного экватора.

6. Фазы Луны — периодическое изменение вида освещённой Солнцем части Луны на земном небе.

7. Есть небольшие нюансы в употреблении термина лунные фазы в разных источниках. В русскоязычной литературе фазами, как правило, называют лунные четверти, разделяя лунный месяц на 4 части.

Звучит это так: 1 фаза – новолуние, 2 фаза – 1 четверть, 3 фаза – полнолуние, 4 фаза – последняя четверть.

Но в мире обычно принято четверти называть четвертями, а фаз насчитывают восемь:

1 фаза – новолуние

2 – серповидная Луна.

3 – первая четверть Луны.

4 – выпуклая Луна

5 – полнолуние

6 – рассеивающая Луна

7 - последняя четверть Луны.

8 – бальзамическая Луна.

8. На первом фото:

3, 4 - растущая Луна - первая четверть.

7, 8 - убывающая Луна - последняя четверть.

9. Гелиоцентрическая система - Солнце находится в центре, а вокруг вращаются Земля и другие планеты.

Геоцентрическая система - в центре неподвижная Земля, а Солнце, другие планеты и звезды вращаются вокруг нее.

10. Первый закон Кеплера (закон эллипсов) - Каждая планета Солнечной системы обращается по эллипсу, в одном из фокусов которого находится Солнце.

11. Первая космическая скорость — это минимальная скорость, при которой тело, движущееся горизонтально над поверхностью планеты, не упадёт на неё, а будет двигаться по круговой орбите.

Формула: √GM/R

12. Самая ближайшая к Земле звезда - Солнце, ближайшая к Солнечной системы - Проксима Центавра.

13. Равноденствие – это определенный период в цикле движения нашей планеты в солнечной системе, при котором, Солнце проходит непосредственно над экватором Земли.

14. Солнцестояние - это момент пересечения Солнцем точки эклиптики

15. Масса Земли - 5.97×10²⁴ кг

16. Радиус Земли:

Экваториальный радиус - 6378,1 км

Полярный радиус - 6356,8 км

Средний радиус - 6371,0 км

17. Гидросфера — это водная часть биосферы, представленная реками, озерами, морями и океанами

18. Атмосфера Земли состоит в основном из газов и различных примесей (пыль, капли воды, кристаллы льда, морские соли, продукты горения).

Если более подробно:

Азот - 78%

Кислород - 21%

Углекислый газ - 1%

Пары воды - 1%

Прочие газы (неон, водород, гелий, метан, криптон и др.) - 1%

19. Радиус Луны - 1737,1 км.

20.Расположение планет от Солнца: 1 - Меркурий, 2 - Венера, 3 - Земля, 4 - Марс, 5 - Юпитер, 6 - Сатурн, 7 - Уран, 8 - Нептун.

21. Планеты-гиганты — четыре планеты Солнечной системы (Юпитер, Сатурн, Уран и Нептун).

22. Международным астрономическим союзом официально признаны 5 карликовых планет: крупнейший астероид Церера и транснептуновые объекты Плутон, Эрида, Макемаке, Хаумеа.


Все кого небыло! это астрономия, ответить на вопросы и запомнить, он будет спрашивать [пересланное с
4,6(12 оценок)
Ответ:
Anna170806
Anna170806
18.12.2021

Когда речь заходит о подарке маме на день рождения хочется подарить что-то  особенное, то что обязательно понравится маме не так ли? Но зачастую не у всех подростков хватает денег на классный подарок. То что я напишу здесь, чисто мое  мнение и это не взято из интернета. Когда я готовлю подарок  маме на день рождения я готовлю его на несколько месяцев вперед, но иногда учеба перекрывает все мои планы и я вспоминаю о подарке в самый последний момент. В этом году я хочу сделать  маме красивую открытку и приложить к ней что-нибудь (пока не  решила что). Я уже нарисовала ее портрет в открытке, но если этот вариант тебе не подходит, то ты можешь приготовить что-нибудь вкусное и простое к этому дню. В интернете множество рецептов простых, но очень вкусных блюд. Но если и эта идея тебе не понравилась, то ты можешь сшить что-нибудь небольшое, но приятное, если умеешь (я если честно не умею Лучшим подарком для мамы будет уборка в доме, но этого на  мой взгляд мало) Если можешь, можно сделать какой-нибудь небольшой блокнот для мамы (уверена ей понравится). Видишь ли мамы у всех  разные. Я, допустим, ничего не знаю про твою маму. Но если у тебя есть немного денег можешь  купить ее любимую шоколадку)) Мелочь, а приятно

4,8(29 оценок)
Новые ответы от MOGZ: Математика
logo
Вход Регистрация
Что ты хочешь узнать?
Спроси Mozg
Открыть лучший ответ