М
Молодежь
К
Компьютеры-и-электроника
Д
Дом-и-сад
С
Стиль-и-уход-за-собой
П
Праздники-и-традиции
Т
Транспорт
П
Путешествия
С
Семейная-жизнь
Ф
Философия-и-религия
Б
Без категории
М
Мир-работы
Х
Хобби-и-рукоделие
И
Искусство-и-развлечения
В
Взаимоотношения
З
Здоровье
К
Кулинария-и-гостеприимство
Ф
Финансы-и-бизнес
П
Питомцы-и-животные
О
Образование
О
Образование-и-коммуникации

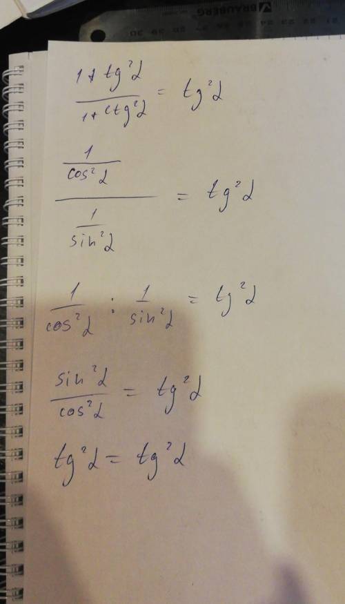
Доказать тождество , применяя основные тригонометрические тождества​

👇
Ответ:
раптраир
раптраир
18.10.2021

Вот решение.........


Доказать тождество , применяя основные тригонометрические тождества​
4,6(93 оценок)
Открыть все ответы
Ответ:
8989645268fortpoli
8989645268fortpoli
18.10.2021
(42÷7)+(36÷6)=12 - значение меньше или равно30; выражения являются суммами  (9×8)-(6×7)=30 - значение меньше или равно 30; выражения являются разностями  (56-18)+(28÷7)=42 - больше или равно40; выражения являются суммами (64÷8)-(24÷3)=0 -значение меньше или равно30;  выражения являются разностями (97-47)-(16-6)=40  -больше или равно40;  выражения являются разностями (64+36)-(6×9)=46 - больше или равно40;  выражения являются разностями (32÷4)×(27÷3)=72 -больше или равно40; выражения являются произведением (72÷8)÷(12÷4)=3 - значение меньше или равно30; выражения являются частным  
4,5(17 оценок)
Ответ:
shipashka
shipashka
18.10.2021
1) Чтобы найти координаты вектора нужно из координат его конца вычесть координаты его начала. Вот есть точки A и B, чтобы найти координаты вектора AB вычитаем из координат точки B координаты точки A: (1-0; 2-(-2); -1-0) = (1;4;-1).
Теперь хотим чтобы некоторый вектор CO был равен вектору AB, то есть он тоже должен иметь координаты (1;4;-1). Значит нужно придумать такие координаты точки C, чтобы при вычитании их из координат точки O получилось (1;4;-1). У точки O координаты (0;0;0), т.к. это начало координат. Значит координаты точки C должны быть такими: 0-x=1, 0-y=4, 0-z=-1, отсюда x=-1, y=-4, z=1. То есть координаты точки C (-1;-4;1)

2) Сначала найдем координаты вектора BA: (0-1; -2-2; 0-(-1)) = (-1;-4;1)
Есть известное знание: 2 вектора перпендикулярны тогда и только тогда когда выполняется следующее равенство: x1*x2 + y1*y2 + z1*z2 = 0, то есть если сумма перемноженных соответствующих координат этих векторов равна нулю. Значит чтобы вектор BA и вектор u были перпендикулярны должно выполняться равенство -1*x + (-4)*1 + 1*2 = 0. Решаем это уравнение, находим что x = -2.
4,4(37 оценок)
Новые ответы от MOGZ: Математика
logo
Вход Регистрация
Что ты хочешь узнать?
Спроси Mozg
Открыть лучший ответ