М
Молодежь
К
Компьютеры-и-электроника
Д
Дом-и-сад
С
Стиль-и-уход-за-собой
П
Праздники-и-традиции
Т
Транспорт
П
Путешествия
С
Семейная-жизнь
Ф
Философия-и-религия
Б
Без категории
М
Мир-работы
Х
Хобби-и-рукоделие
И
Искусство-и-развлечения
В
Взаимоотношения
З
Здоровье
К
Кулинария-и-гостеприимство
Ф
Финансы-и-бизнес
П
Питомцы-и-животные
О
Образование
О
Образование-и-коммуникации
sasasnikas
sasasnikas
14.07.2022 23:40 •  Математика

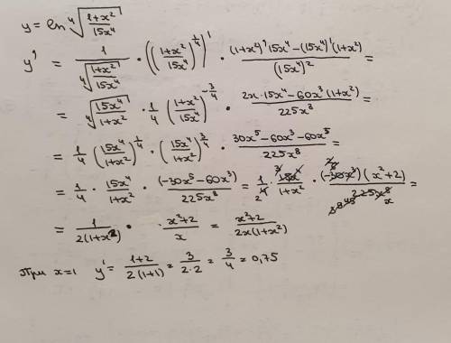
Найти производную, если можео что б все расписано

👇
Ответ:
nikk72827
nikk72827
14.07.2022

решение на фотографии


Найти производную, если можео что б все расписано
4,4(4 оценок)
Открыть все ответы
Ответ:
myxa00mop
myxa00mop
14.07.2022
Скорость выполнения                    время                             итог
                                                         4 дня                             48 парт
 на 4 п. меньше                                   ?                                 48 парт
(Извините, пыталась сделать "что-то вроде таблицы", надеюсь, что понятно)
1) 48:4=12(п./д.) - красил маляр в норме
2) 12-4=8 (п./д.) - теперь красит маляр
3) 48:8=6 (дней) - будет красить маляр теперь.
Я старалась сделать все как можно понятнее
4,8(41 оценок)
Ответ:
dribinl41
dribinl41
14.07.2022
Пусть х литров расходует легковой автомобиль на 100 км, тогда грузовой расходует х+10 литров бензина.
Легковой автомобиль проезжает у км на 1 литре, тогда у-5 км проезжает грузовой автомобиль на 1 литре бензина.
Составим и решим систему уравнений
х*у=100
(х+10)/100=1/(у-5)

Выразим значение х из первого уравнения:
х=100/у
Подставим его во второе уравнение:
(100/у+10)/100=1/(у-5)
100/у:100+10/100=1/(у-5) (сократим на 10)
(100/у+10)/10=10/(у-5)
10/у+1=10/(у-5) (умножим на у(у-5))
10у*(у-5)/у+1у(у-5)=10*у(у-5)/(у-5)
10(у-5)+у²-5у=10у
10у-50+у²-5у-10у=0
у²-5у-50=0
D=a²-4bc=(-5)²-4*1*(-50)=25+200=225
у₁=(-b+√D)/2a=(-(-5)+15)/2*1=20/2=10
у₂=(-b-√D)/2a=(-(-5)-15)/2*1=-10/2=-5<0 - не подходит.
ответ: легковой автомобиль, расходуя 1 л бензина, может преодолеть 10 км.
4,4(8 оценок)
Это интересно:
Новые ответы от MOGZ: Математика
logo
Вход Регистрация
Что ты хочешь узнать?
Спроси Mozg
Открыть лучший ответ