М
Молодежь
К
Компьютеры-и-электроника
Д
Дом-и-сад
С
Стиль-и-уход-за-собой
П
Праздники-и-традиции
Т
Транспорт
П
Путешествия
С
Семейная-жизнь
Ф
Философия-и-религия
Б
Без категории
М
Мир-работы
Х
Хобби-и-рукоделие
И
Искусство-и-развлечения
В
Взаимоотношения
З
Здоровье
К
Кулинария-и-гостеприимство
Ф
Финансы-и-бизнес
П
Питомцы-и-животные
О
Образование
О
Образование-и-коммуникации
zvarichevgenija
zvarichevgenija
29.11.2021 14:07 •  Математика

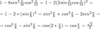
1-8sin^2 π/16 × cos^2 π/16

👇
Ответ:
pro22896
pro22896
29.11.2021

\frac{\sqrt{2}}{2}

Пошаговое объяснение:

1-8sin^2\frac{\pi}{16}cos^2\frac{\pi}{16}=1-2(2sin\frac{\pi}{16}cos\frac{\pi}{16})^2=\\\\=1-2*(sin\frac{\pi}{8})^2= sin^2\frac{\pi}{8}+cos^2\frac{\pi}{8}-2sin^2\frac{\pi}{8}=\\\\=cos^2\frac{\pi}{8}-sin^2\frac{\pi}{8}=cos(2*\frac{\pi}{8})=cos\frac{\pi}{4}=\frac{\sqrt{2}}{2}

*** Для решения использованы формулы:

2*sina*cosa=sin2a\\1=cos^2a+sin^2a\\cos^2a-sin^2a=cos2a

4,4(59 оценок)
Открыть все ответы
Ответ:
Rawree258
Rawree258
29.11.2021

1.не понятно написано в квадрате или умножить на два. вот оба варианта

(а+3)^2-a+17-a=a^2 + 9+ 6a-a+17-a=a^2 +4a+26

(a+3)2-a+17-a=2a+6-a+17-a=23

 

2. 4x-y=18 3x+5y=2, 
y=4x-18,  вставляем во второе уравнение 3x+5(4x-18)=2
                                                                               3x+20x-90=2
                                                                               23x=92
                                                                               x=4

 

3.  график из себя представляет линию, проходящую через данную точку. график черить необязательно. вставим значения в уравнение 16=2*9.5 -3
                                                                                            16=16  значит проходит

 

4. наверно имели в виду следующее 2a^3-32a=2a(a^2-16)
                                                             3а-b^2-аb+3b=3(a+b)-b(b+a)=(3-b)(a+b)

 

5. обозначим количество листов в день х, тогда 20Х=(X+5)(20-5)

                                                                                           20x-15x=75
                                                                                          5X=75

                                                                                         x=15 ( страниц в день), 
15*20 =300 страниц было всего

 

6. 16х^2-х^3=0.     x^2(16-x)=0   x^2=0 или 16-х=0

                                                         x=0             x=16

4,6(81 оценок)
Ответ:
7164260
7164260
29.11.2021

1.не понятно написано в квадрате или умножить на два. вот оба варианта

(а+3)^2-a+17-a=a^2 + 9+ 6a-a+17-a=a^2 +4a+26

(a+3)2-a+17-a=2a+6-a+17-a=23

 

2. 4x-y=18 3x+5y=2, 
y=4x-18,  вставляем во второе уравнение 3x+5(4x-18)=2
                                                                               3x+20x-90=2
                                                                               23x=92
                                                                               x=4

 

3.  график из себя представляет линию, проходящую через данную точку. график черить необязательно. вставим значения в уравнение 16=2*9.5 -3
                                                                                            16=16  значит проходит

 

4. наверно имели в виду следующее 2a^3-32a=2a(a^2-16)
                                                             3а-b^2-аb+3b=3(a+b)-b(b+a)=(3-b)(a+b)

 

5. обозначим количество листов в день х, тогда 20Х=(X+5)(20-5)

                                                                                           20x-15x=75
                                                                                          5X=75

                                                                                         x=15 ( страниц в день), 
15*20 =300 страниц было всего

 

6. 16х^2-х^3=0.     x^2(16-x)=0   x^2=0 или 16-х=0

                                                         x=0             x=16

4,5(75 оценок)
Это интересно:
Новые ответы от MOGZ: Математика
logo
Вход Регистрация
Что ты хочешь узнать?
Спроси Mozg
Открыть лучший ответ