М
Молодежь
К
Компьютеры-и-электроника
Д
Дом-и-сад
С
Стиль-и-уход-за-собой
П
Праздники-и-традиции
Т
Транспорт
П
Путешествия
С
Семейная-жизнь
Ф
Философия-и-религия
Б
Без категории
М
Мир-работы
Х
Хобби-и-рукоделие
И
Искусство-и-развлечения
В
Взаимоотношения
З
Здоровье
К
Кулинария-и-гостеприимство
Ф
Финансы-и-бизнес
П
Питомцы-и-животные
О
Образование
О
Образование-и-коммуникации
mhey3303
mhey3303
29.01.2020 19:43 •  Математика

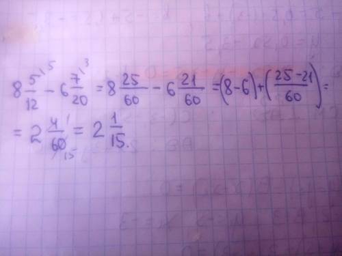
решить 8целые5/12минус 6целые7/20​

👇
Ответ:
Софияcatwar
Софияcatwar
29.01.2020

Решение задания приложено


решить 8целые5/12минус 6целые7/20​
4,5(22 оценок)
Открыть все ответы
Ответ:
Yotuberik
Yotuberik
29.01.2020
Личность – психологическое понятие, определяющее человека как носителя общественных социальных отношений. Она проявляется индивидуально неповторимым сочетанием таких психологических параметров, как задатки (природные предпосылки развития свойства личности, дающие ей возможности успешно обучаться) , темперамент (постоянные и устойчивые индивидуально-неповторимые природные свойства личности, определяющие динамику психической деятельности независимо от ее содержания) , характер (совокупность устойчивых и существенных индивидуально-своеобразных свойств личности, отражающих все многообразие ее отношений к окружающему миру и к самой себе) , направленность (свойства личности, характеризующие ее влечения, желания, интересы, склонности, которые определяют избирательную активность человека).
4,7(91 оценок)
Ответ:
Bamper1
Bamper1
29.01.2020

Раскладываем на множители следующие числа. Получаем следующее решение.

6270 = 2 * 3 * 5 * 11 * 19.

Число 6270 равно произведению множителей 2, 3, 5, 11 и 19.

8840 = 2 * 2 * 2 * 5 * 13 * 17.

Число 8840 равно произведению множителей 2, 2, 2, 5, 13 и 17.

10450 = 2 * 5 * 5 * 11 * 19.

Число 10450 равно произведению множителей 2, 5, 5, 11 и 19.

13986 = 2 * 3 * 3 * 7 * 3 * 37.

Число 13986 равно произведению множителей 2, 3, 3, 7, 3 и 37.

16400 = 2 * 2 * 2 * 2 * 5 * 5 *41.

Число 16400 равно произведению множителей 2, 2, 2, 2, 5, 5 и 41.

20010 = 2 * 5 * 3 * 23 * 29.

Число 20010 равно произведению множителей 2, 5, 3, 23 и 29.

4,5(91 оценок)
Новые ответы от MOGZ: Математика
logo
Вход Регистрация
Что ты хочешь узнать?
Спроси Mozg
Открыть лучший ответ