М
Молодежь
К
Компьютеры-и-электроника
Д
Дом-и-сад
С
Стиль-и-уход-за-собой
П
Праздники-и-традиции
Т
Транспорт
П
Путешествия
С
Семейная-жизнь
Ф
Философия-и-религия
Б
Без категории
М
Мир-работы
Х
Хобби-и-рукоделие
И
Искусство-и-развлечения
В
Взаимоотношения
З
Здоровье
К
Кулинария-и-гостеприимство
Ф
Финансы-и-бизнес
П
Питомцы-и-животные
О
Образование
О
Образование-и-коммуникации
23414262
23414262
08.05.2020 02:51 •  Математика

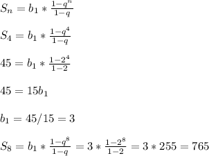
дано:(Bn)- геометрическая прогрессия
S4=45
q=2
найти:
S8=?

👇
Ответ:
liliasirbu
liliasirbu
08.05.2020

765

Пошаговое объяснение:

S_n=b_1*\frac{1-q^n}{1-q} \\ \\ S_4=b_1*\frac{1-q^4}{1-q} \\ \\ 45=b_1*\frac{1-2^4}{1-2}\\ \\ 45=15b_1 \\ \\ b_1=45/15=3 \\ \\ S_8=b_1*\frac{1-q^8}{1-q}=3*\frac{1-2^8}{1-2}=3*255=765

4,7(15 оценок)
Открыть все ответы
Ответ:

Одобрен Советом Федерации 24 сентября 2003 года

Настоящий Федеральный закон в соответствии с Конституцией Российской Федерации устанавливает общие правовые, территориальные, организационные и экономические принципы организации местного самоуправления в Российской Федерации, определяет государственные гарантии его осуществления.

Глава 1. Общие положения

Статья 1. Местное самоуправление

1. Местное самоуправление составляет одну из основ конституционного строя Российской Федерации, признается, гарантируется и осуществляется на всей территории Российской Федерации.

2. Местное самоуправление в Российской Федерации - форма осуществления народом своей власти, обеспечивающая в пределах, установленных Конституцией Российской Федерации, федеральными законами, а в случаях, установленных федеральными законами, - законами субъектов Российской Федерации, самостоятельное и под свою ответственность решение населением непосредственно и (или) через органы местного самоуправления вопросов местного значения исходя из интересов населения с учетом исторических и иных местных традиций.

Статья 2. Основные термины и понятия

1. Для целей настоящего Федерального закона используются следующие основные термины и понятия:

сельское поселение - один или несколько объединенных общей территорией сельских населенных пунктов (сел, станиц, деревень, хуторов, кишлаков, аулов и других сельских населенных пунктов), в которых местное самоуправление осуществляется населением непосредственно и (или) через выборные и иные органы местного самоуправления;

4,6(80 оценок)
Ответ:
ellaandharley30
ellaandharley30
08.05.2020

Пошаговое объяснение:

Задача 1

Найдем стоимость свитера со скидкой 50%

50%=50:100=0,5

350*0,5= 175 руб. стоимость свитера со скидкой

350+175= 525 руб. стоимость двух свитеров

ответ : 525 руб.

Задача 2

Общая площадь 162 га

распределено как 7:2

Всего частей

7+2=9 частей

162 : 9 = 18 га припадает на 1 часть , значит

7*18 =126 га земли занимают зерновые культуры

ответ : 126 га

Задача 3

Стоимость без скидки 90 руб. и это 100%

Скидка 10 % , значит стоимость чашки составит

100-10=90% первоначальной стоимости

90%=90:100=0,9

90*0,9 =81 руб. стоимость чашки со скидкой

10*81=810 руб. будут стоить 10 чашек

1000-810 = 190 руб сдачи получит покупатель

или

1000 - (90*10)*0,9= 1000-810=190 руб. сдачи

ответ : 190 руб.

Задача 4

Скидка 3 % , значит стоимость полотенец составит

100-3=97% от первоначальной стоимости

97%=0,97

200*0,97=194 руб. стоимость полотенец

500-194 = 306 руб. получит покупатель сдачи

ответ : 306 руб.

Задача 5

Группа из 8 человек получит скидку 5% , значит стоимость путевки будет 100-5=95% от первоначальной стоимости

95%=0,95

3500*0,95 =3325 руб. будет стоимость путевки для одного человека

Группа из 8 человек заплатит за путевки

3325 *8= 26600 руб.

ответ : 26600 руб.

Задача 6

Первоначальная стоимость платы за телефон 250 руб.

Увеличится на 4% , значит стоимость составит 100+4=104% от первоначальной стоимости

104 %=1,04

Ежемесячная плата за телефон будет

250 * 1,04 = 260 руб.

ответ: 260 руб.

Задача 7

12,5 % = 12, 5 : 100 = 0,125

4,4(76 оценок)
Это интересно:
Новые ответы от MOGZ: Математика
logo
Вход Регистрация
Что ты хочешь узнать?
Спроси Mozg
Открыть лучший ответ