М
Молодежь
К
Компьютеры-и-электроника
Д
Дом-и-сад
С
Стиль-и-уход-за-собой
П
Праздники-и-традиции
Т
Транспорт
П
Путешествия
С
Семейная-жизнь
Ф
Философия-и-религия
Б
Без категории
М
Мир-работы
Х
Хобби-и-рукоделие
И
Искусство-и-развлечения
В
Взаимоотношения
З
Здоровье
К
Кулинария-и-гостеприимство
Ф
Финансы-и-бизнес
П
Питомцы-и-животные
О
Образование
О
Образование-и-коммуникации
ymnый0
ymnый0
28.05.2023 01:18 •  Математика

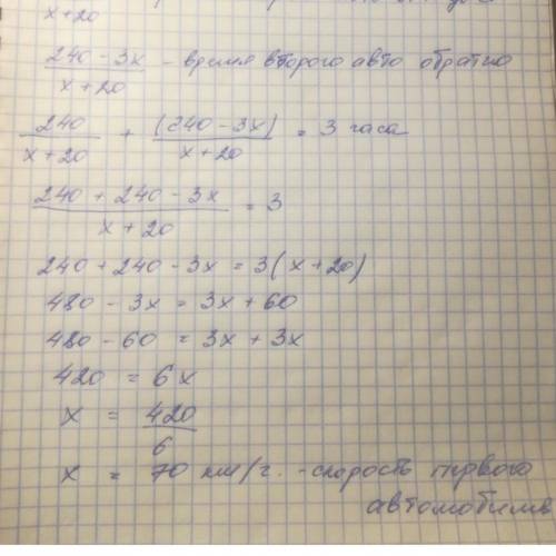
Из пункта а в пункт б , расстояние между которыми ровно 240 км , одновременно выехали два автомобиля . Скорость первого автомобиля 20 км больше скорости второго . Первый автомобиль, прибыв в пункт б, сразу же отправился обратно и встретил второй автомобиль через 3 часа после выезда из пункта а . Найдите скорость автомобиля.​

👇
Ответ:
tyrykina0115
tyrykina0115
28.05.2023
Так вот, это типо ответ, удачи, мне ещё что-то нужно написать, все
Из пункта а в пункт б , расстояние между которыми ровно 240 км , одновременно выехали два автомобиля
4,5(86 оценок)
Ответ:
proksi01
proksi01
28.05.2023


Из пункта а в пункт б , расстояние между которыми ровно 240 км , одновременно выехали два автомобиля
4,6(88 оценок)
Открыть все ответы
Ответ:
Random00700
Random00700
28.05.2023
закончились 4часа10 мин дня
длились 5час 40 мин;
начались ?, час.и мин.
Решение.
4часа 10мин дня = 16 часов 10 мин, так как мы считаем время от полуночи,т.е от 0 часов. (От 0 до полдня 12 часов + 4часа10 мин = 16час 10 мин).


16 час 10мин - 5час. 40 мин =  11час 10 мин - 40 мин = (10 час+60 мин + 10 мин) - 40 мин = 10час 30 мин.
ответ: соревнования по теннису начались а 10 час 30 мин или в половине одиннадцатого
.

Если расчет времени по первому вызывает затруднения, можно часы перевести в минуты, зная что час=60 мин:
1) 16 час10 мин = 16*60 + 10 = 960+10=970 минут от полуночи до времени окончания соревнований;
2) 5 час 40 мин = 5*60 + 40 = 340 минут длились соревнования;
3) 970 мин -340 минут = 630 минут от полуночи до времени начала соревнований;
4) 630 мин = 630:60 = 10часов(30 мин.ост)  = 10 часов 30 минут  время начала соревнований.
ответ: соревнования по теннису начались в 10 часов 30 мин.


Отмечаем на координатной оси время от 0 часов, размечая по 1 часу.
Отмечаем точку окончания соревнований(16час 10 мин).
И от нее откладываем влево 5 часов 40 мин (на схеме подчеркнуто): 
а) Сначала откладываем 10 мин и получаем точу 16 час.(16час 10 чмин - 10 мин = 16час)  
У нас остается: 5час 40 мин - 10 мин = 5 час 30 мин.
б) от точки 16 откладываем (влево!) 5 часов и получаем точку 11. (16час-5час=11час)
осталось еще: 5час 30мин - 5час = 30 мин
в) от точки 11 влево откладываем оставшиеся 30 мин. 11час-30мин = 10час30мин.
мы получили время начала соревнований.

0|--1|--2|--3|--4|--5|--6|--7|--8|--9|--10|--11|--12|--13|--14|--15|--16|--17|--> время, час

Из схемы видно( если промежутки между 10 и 11 час и между 16 и 17 час разделить на единичные отрезки по 10 мин), что соревнования начались в 10 час 30 мин. 

 
4,7(52 оценок)
Ответ:
Metyakarimi
Metyakarimi
28.05.2023

не хватит

Пошаговое объяснение:

Мама купила: рис - 2 кг, подсолнечное масло - 1 кг, макароны - 3,2 кг, сахар песок - 0,5 кг, сахар рафинад - 0,5 кг, колбаса - 2,5 кг, сосиски - 0,8 кг, сок - 1,5 кг, печенье - 1,2 кг, конфеты - 0,8 кг.

Разложим их в два пакета по 6 кг.

1) рис, подсолнечное масло, сахар песок, колбаса:

2 + 1 + 0,5 + 2,5 = 6 кг - одну сумку заполнили.

2) макароны, сосиски, сахар рафинад, сок:

3,2 + 0,8 + 0,5 + 1,5 = 6 кг - вторую сумку заполнили.

3) Осталось печенье и конфеты: 1,2 + 0,8 = 2 кг лишние.

Эти сладости и придется нести без пакетов.

4,6(10 оценок)
Это интересно:
Новые ответы от MOGZ: Математика
logo
Вход Регистрация
Что ты хочешь узнать?
Спроси Mozg
Открыть лучший ответ