М
Молодежь
К
Компьютеры-и-электроника
Д
Дом-и-сад
С
Стиль-и-уход-за-собой
П
Праздники-и-традиции
Т
Транспорт
П
Путешествия
С
Семейная-жизнь
Ф
Философия-и-религия
Б
Без категории
М
Мир-работы
Х
Хобби-и-рукоделие
И
Искусство-и-развлечения
В
Взаимоотношения
З
Здоровье
К
Кулинария-и-гостеприимство
Ф
Финансы-и-бизнес
П
Питомцы-и-животные
О
Образование
О
Образование-и-коммуникации
infolenap08cf7
infolenap08cf7
05.11.2020 19:42 •  Математика

Реши уравнение:
−3x−22=7x+48.

ответ: x=

👇
Ответ:
a24027679
a24027679
05.11.2020

X=-7

Пошаговое объяснение:

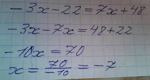
−3x−22=7x+48

-3x=7x=48+22

-10x=70

x=-7

4,8(22 оценок)
Ответ:
Usimys
Usimys
05.11.2020

Вот так. Легко же...........


Реши уравнение: −3x−22=7x+48. ответ: x=
4,8(76 оценок)
Открыть все ответы
Ответ:
KEYK01
KEYK01
05.11.2020
Решим задачу алгебраическим с уравнения)
60 тетрадей=840 листов бумаги
один вид тетради=по 12 листов
второй вид тетради=по 18 листов
Найти:
тетрадей первого вида=? штук
тетрадей второго вида=? штук
Решение
Пусть х - количество тетрадей первого вида, а у - второго вида.
По условиям задачи х+у=60 (| уравнение)

На тетради первого вида использовали 12*х листов бумаги, а второго вида 18у листов бумаги.
По условиям задачи 12х+18у=840 (|| равнение)

Решим систему неравенств (методом сложения):
{х+у=60 (*-12)
{12х+18у=840

{-12x-12y= -720
+{12х+18у=840
=(-12х+12х)+(-12у+18у)=-720+840
6у=120
у=120:6
у=20 (тетрадей второго вида)

у+х=60
20+х=60
х=60-20
х=40 (тетрадей первого вида)
ответ: тетрадей первого вида 40 штук (по 12 листов), а второго вида 20 штук (по 18 листов)

Проверим:
12*40+18*20= 480+360=840 листов

или (если систему уравнений ещё не проходили)
Пусть х - тетрадей по 12 листов. Тогда количество тетрадей по 18 листов равно: 60-х.
12*х листов необходимо для изготовления первого вида тетрадей (по 12 листов), а 18(60-х) листов необходимо для изготовления второго вида тетрадей (по 18 листов). Всего на 60 тетрадей ушло 840 листов:
12х+18(60-х)=840
12х+1080-18х=840
-6х=840-1080
-6х=-240
6х=240
х=240:6
х=40 (тетрадей первого вила)
60-х-60-40=20 (тетрадей второго вида)
4,5(23 оценок)
Ответ:
оооооаомт
оооооаомт
05.11.2020
Решим задачу алгебраическим с уравнения)
60 тетрадей=840 листов бумаги
один вид тетради=по 12 листов
второй вид тетради=по 18 листов
Найти:
тетрадей первого вида=? штук
тетрадей второго вида=? штук
Решение
Пусть х - количество тетрадей первого вида, а у - второго вида.
По условиям задачи х+у=60 (| уравнение)

На тетради первого вида использовали 12*х листов бумаги, а второго вида 18у листов бумаги.
По условиям задачи 12х+18у=840 (|| равнение)

Решим систему неравенств (методом сложения):
{х+у=60 (*-12)
{12х+18у=840

{-12x-12y= -720
+{12х+18у=840
=(-12х+12х)+(-12у+18у)=-720+840
6у=120
у=120:6
у=20 (тетрадей второго вида)

у+х=60
20+х=60
х=60-20
х=40 (тетрадей первого вида)
ответ: тетрадей первого вида 40 штук (по 12 листов), а второго вида 20 штук (по 18 листов)

Проверим:
12*40+18*20= 480+360=840 листов

или (если систему уравнений ещё не проходили)
Пусть х - тетрадей по 12 листов. Тогда количество тетрадей по 18 листов равно: 60-х.
12*х листов необходимо для изготовления первого вида тетрадей (по 12 листов), а 18(60-х) листов необходимо для изготовления второго вида тетрадей (по 18 листов). Всего на 60 тетрадей ушло 840 листов:
12х+18(60-х)=840
12х+1080-18х=840
-6х=840-1080
-6х=-240
6х=240
х=240:6
х=40 (тетрадей первого вила)
60-х-60-40=20 (тетрадей второго вида)
4,6(72 оценок)
Это интересно:
Новые ответы от MOGZ: Математика
logo
Вход Регистрация
Что ты хочешь узнать?
Спроси Mozg
Открыть лучший ответ