М
Молодежь
К
Компьютеры-и-электроника
Д
Дом-и-сад
С
Стиль-и-уход-за-собой
П
Праздники-и-традиции
Т
Транспорт
П
Путешествия
С
Семейная-жизнь
Ф
Философия-и-религия
Б
Без категории
М
Мир-работы
Х
Хобби-и-рукоделие
И
Искусство-и-развлечения
В
Взаимоотношения
З
Здоровье
К
Кулинария-и-гостеприимство
Ф
Финансы-и-бизнес
П
Питомцы-и-животные
О
Образование
О
Образование-и-коммуникации
hohlov228
hohlov228
04.05.2020 13:52 •  Математика

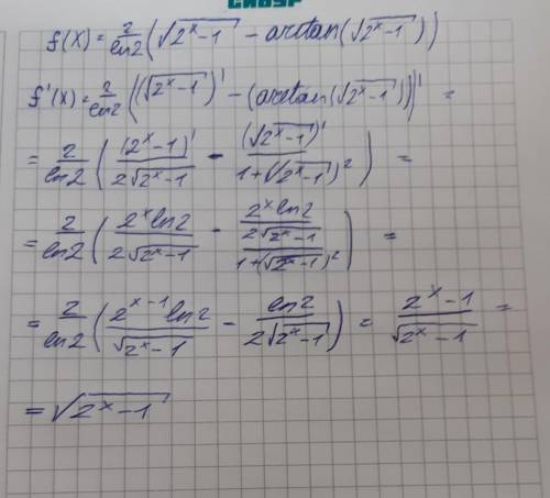
Найти производную сложной функции

👇
Ответ:
Ррррр5о
Ррррр5о
04.05.2020

решение в приложении.


Найти производную сложной функции
4,4(28 оценок)
Открыть все ответы
Ответ:
mehan2018
mehan2018
04.05.2020

Пошаговое объяснение:

Чтобы найти 1-е слагаемое, надо из суммы вычесть 2-слагаемое

х+3,2=17,1

х=17,1 - 3,2

х= 13,9

13,9+3,2=17,1

17,1=17,1

Неизвестно вычитаемое. Из уменьшаемого вычитаем разность.

46,9-у=2,19

у= 46,9-2,19

у= 44,71

46,9-44,71=2,19

2,19=2,19

Усложненное уравнение: Левую сторону, скобку оставляем , а из разности вычитаем вычитаемое. И получаем простое уравнение. Дальше решаем аналогично первому уравнению.

(2,46+а)-4,2=6,43

2,46+а= 6,43+4,2

2,46+а= 10,63

а= 10,63 -2,46

а= 8,17

(2,46+8,17)-4,2=6,43

6,43=6,43

4,5(87 оценок)
Ответ:
NeZnayVsego
NeZnayVsego
04.05.2020

Пошаговое объяснение:

3⁴ = 3*3*3*3=81

5³ = 5*5*5=125

4³ = 4*4*4=64

11² = 11*11=121

3(a+b+c)= 3a+3b+3c

2a(3c+2b+5)+3c-5 = 6ac + 4ab + 10a + 3c - 5

8(2a-4c) = 16a - 32c

12 + 4 = 16см длина стороны b

16*12=192см² площадь прямоугольника

120:3=40м² площадь пола

5 4/5 + 2 3/5 = 7 7/5 = 7 2/5

8 - 5/7 = 7 2/7

2 9/11 - 7/11 = 2 2/11

10 - 2 3/5 = 7 2/5

0,5 * 20 = 10

27,31 * 3,5 = 95,585

81,2 * 4,51 = 366,212

43,75 : 3,5 = 12,5

81,9 : 3 = 27,3

6*3 +  2,5*2 = 18 + 5 = 23км пешеход за все время

3+2=5часов пешеход был в пути

23 : 5 = 4,6км/ч средняя скорость пешехода

4,7(99 оценок)
Это интересно:
Новые ответы от MOGZ: Математика
logo
Вход Регистрация
Что ты хочешь узнать?
Спроси Mozg
Открыть лучший ответ