М
Молодежь
К
Компьютеры-и-электроника
Д
Дом-и-сад
С
Стиль-и-уход-за-собой
П
Праздники-и-традиции
Т
Транспорт
П
Путешествия
С
Семейная-жизнь
Ф
Философия-и-религия
Б
Без категории
М
Мир-работы
Х
Хобби-и-рукоделие
И
Искусство-и-развлечения
В
Взаимоотношения
З
Здоровье
К
Кулинария-и-гостеприимство
Ф
Финансы-и-бизнес
П
Питомцы-и-животные
О
Образование
О
Образование-и-коммуникации
AsyaUkrainceva
AsyaUkrainceva
29.05.2023 20:21 •  Математика

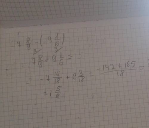
выполнить вычитание -7 целых8/9-(-9целых 1/6

👇
Ответ:
MunjaTamilka
MunjaTamilka
29.05.2023

........................


выполнить вычитание -7 целых8/9-(-9целых 1/6​
4,7(76 оценок)
Открыть все ответы
Ответ:
хани2005
хани2005
29.05.2023
А) 480-400=80(на 80(км) проехала больше 2 машина)                                            80:2=40(км/час) скорость машин                                                                      400:40=10(часов) была в пути 1 машина                                                            480:40=12(часов) была в пути 2 машина                                                         Б) 25-19=6(на 6 мешков  лука больше с 1 участка)                                                360:6=60(кг) лука в одном мешке                                                                      25*60=1500(кг) лука собрали с 1 участка                                                           19*60=1140(кг) лука со 2 участка                                                                        В) 2450+2550=5000(кг) картофеля собрали 2 бригады                                            5000:100=50(кг) картофеля в одном мешке                                                         2450:50=49(мешков) картошки  собрала 1 бригада                                             2550:50=51(мешок) картошки 2 бригада
4,4(18 оценок)
Ответ:
katenabulasheva
katenabulasheva
29.05.2023
А) 480-400=80(на 80(км) проехала больше 2 машина)                                            80:2=40(км/час) скорость машин                                                                      400:40=10(часов) была в пути 1 машина                                                            480:40=12(часов) была в пути 2 машина                                                         Б) 25-19=6(на 6 мешков  лука больше с 1 участка)                                                360:6=60(кг) лука в одном мешке                                                                      25*60=1500(кг) лука собрали с 1 участка                                                           19*60=1140(кг) лука со 2 участка                                                                        В) 2450+2550=5000(кг) картофеля собрали 2 бригады                                            5000:100=50(кг) картофеля в одном мешке                                                         2450:50=49(мешков) картошки  собрала 1 бригада                                             2550:50=51(мешок) картошки 2 бригада
4,5(7 оценок)
Новые ответы от MOGZ: Математика
logo
Вход Регистрация
Что ты хочешь узнать?
Спроси Mozg
Открыть лучший ответ