М
Молодежь
К
Компьютеры-и-электроника
Д
Дом-и-сад
С
Стиль-и-уход-за-собой
П
Праздники-и-традиции
Т
Транспорт
П
Путешествия
С
Семейная-жизнь
Ф
Философия-и-религия
Б
Без категории
М
Мир-работы
Х
Хобби-и-рукоделие
И
Искусство-и-развлечения
В
Взаимоотношения
З
Здоровье
К
Кулинария-и-гостеприимство
Ф
Финансы-и-бизнес
П
Питомцы-и-животные
О
Образование
О
Образование-и-коммуникации
1337lolkek
1337lolkek
10.03.2021 18:09 •  Математика

найти общее решение(общий интеграл) дифференциального уравнения первого порядка xy'=y+3x sin(y/x)

👇
Ответ:
2547456
2547456
10.03.2021

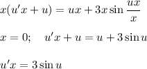
Данное дифференциальное уравнение является однородным. Для однородных дифференциальных уравнений всегда осуществляется замена y=ux, тогда y'=u'x+u. Получаем :

x(u'x+u)=ux+3x\sin \dfrac{ux}{x}\\ \\ x=0;~~~ u'x+u=u+3\sin u\\ \\ u'x=3\sin u

Получили дифференциальное уравнение с разделяющимися переменными. Разделяя переменные и интегрируя обе части уравнения, мы получим

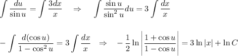
\displaystyle \int \dfrac{du}{\sin u}=\int \dfrac{3dx}{x}~~~\Rightarrow~~~ \int \dfrac{\sin u}{\sin^2u}du=3\int \dfrac{dx}{x}\\ \\ \\ -\int \dfrac{d(\cos u)}{1-\cos^2u}=3\int \dfrac{dx}{x}~~\Rightarrow~~ -\dfrac{1}{2}\ln\Bigg|\dfrac{1+\cos u}{1-\cos u}\Bigg|=3\ln |x|+\ln C

\ln\Bigg|\dfrac{1-\cos u}{1+\cos u}\Bigg|=\ln\left|Cx^6\right|\\ \\\\ \dfrac{1-\cos u}{1+\cos u}=Cx^6

Выполним обратную замену

\dfrac{1-\cos \frac{y}{x}}{1+\cos \frac{y}{x}}=Cx^6— общий интеграл

4,4(19 оценок)
Открыть все ответы
Ответ:
Marvarick
Marvarick
10.03.2021

Пошаговое объяснение:

1. Найдем угловые коэффициенты k1 и k2 для заданных прямых, выразив функцию 'y' через аргумент 'x':

  1)

(3a + 2)x + (1 - 4a)y + 8 = 0;

(1 - 4a)y = -(3a + 2)x - 8;

(4a - 1)y = (3a + 2)x + 8;

y = (3a + 2)/(4a - 1) * x + 8/(4a - 1);

k1 = (3a + 2)/(4a - 1).

  2)

(5a - 2)x + (a + 4)y - 7 = 0;

(a + 4)y = -(5a - 2)x + 7;

y = -(5a - 2)/(a + 4) * x + 7;

k2 = -(5a - 2)/(a + 4).

  2. Прямые перпендикулярны, если угловые коэффициенты удовлетворяют условию:

k1 * k2 = -1;

(3a + 2)/(4a - 1) * (-(5a - 2)/(a + 4)) = -1;

(3a + 2)/(4a - 1) * (5a - 2)/(a + 4) = 1;

(3a + 2)(5a - 2) = (4a - 1)(a + 4);

15a^2 + 4a - 4 = 4a^2 + 15a - 4;

11a^2 - 11a = 0;

11a(a - 1) = 0;

a1 = 0;

a2 = 1.

  ответ: 0 и 1.

4,5(30 оценок)
Ответ:
lordikEgorka
lordikEgorka
10.03.2021
Дано:
S = 240 км
t₁ = 3 ч
t₂ = 5 ч

Найти: S₁-?; S₂-?

Скорость пассажирского поезда:
                           v₁ = S/t₁ = 240:3 = 80 (км/ч)
Скорость товарного поезда:
                           v₂ = S/t₂ = 240:5 = 48 (км/ч)
Скорость сближения поездов:
                           v = v₁ + v₂ = 80+48 = 128 (км/ч)
Время до встречи:
                           t = S/v = 240:128 = 1,875 (ч)
Расстояние, которое до встречи пассажирский поезд:
                          S₁ = v₁t = 80*1,875 = 150 (км)
Расстояние, которое до встречи товарный поезд:
                          S₂ = v₂t = 48*1,875 = 90 (км)

ответ: 150 км; 90 км.   
4,6(46 оценок)
Новые ответы от MOGZ: Математика
logo
Вход Регистрация
Что ты хочешь узнать?
Спроси Mozg
Открыть лучший ответ