М
Молодежь
К
Компьютеры-и-электроника
Д
Дом-и-сад
С
Стиль-и-уход-за-собой
П
Праздники-и-традиции
Т
Транспорт
П
Путешествия
С
Семейная-жизнь
Ф
Философия-и-религия
Б
Без категории
М
Мир-работы
Х
Хобби-и-рукоделие
И
Искусство-и-развлечения
В
Взаимоотношения
З
Здоровье
К
Кулинария-и-гостеприимство
Ф
Финансы-и-бизнес
П
Питомцы-и-животные
О
Образование
О
Образование-и-коммуникации
karinademina8
karinademina8
15.03.2022 13:51 •  Математика

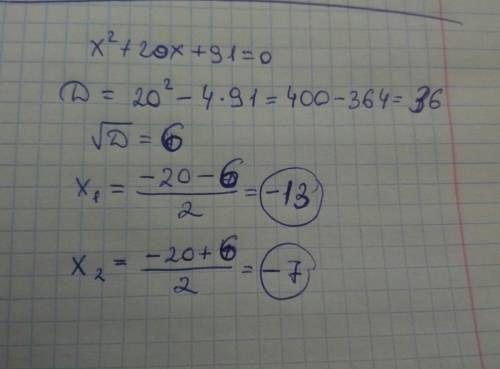
Решите через Неполное квадратное уравнение х2+20х+91=0

👇
Ответ:
znatokchok
znatokchok
15.03.2022

x1= -13

x2= -7

Ибо (-13*-7)=91

-13-7= -20(с противоположным)


Решите через Неполное квадратное уравнение х2+20х+91=0
4,6(34 оценок)
Открыть все ответы
Ответ:
Ірина428
Ірина428
15.03.2022
24
нужно 24 делить на знаменатель дроби и умножать числитель на полученное число, от умножения числителя и знаменателя на одно и то же число значение дроби не меняется:

24/2=12  1/2 = (1*12)/(2*12) = 12/24
24/3=8    2/3 = (2*8)/(3*8) = 16/24
24/4=6    3/4 = (3*6)/(4*6) = 18/24
1/6 = 4/24
3/8 = 9/24
5/12 = 10/24

2)
знаменатели всех дробей нужно разложить на множители, в общий знаменатель должны входить все сомножители от каждой дроби:

3 = 3
5 = 5
3*3 = 9
3*5 = 15

общий множитель 3*3*5=45
дальше действуете по первому варианту, как в примере с "24"

45/3=15  1/3 =(1*15)/(3*15) = 15/45
2/5=18/45
2/9=10/45
4/15 = 12/45

 
4,5(80 оценок)
Ответ:
celentano1
celentano1
15.03.2022

разговор двух друзей,которые давно не виделись.
1:ооо,сялям,Рамиль!озактан куренмянек.
2:сялям,сялям.элбитя.халярен ничек?
1:Якшы геня.Богон  беренче кон эшке сыктым,нык итеп сирлягяйнем.Беренче кон булды.
2:оо.арыдынмы?
1:эйе.узен ни хялдя?ни эшляп юрейсен?
2:мин якшы.Бына кичя машинам ватылды,шугы ремонтка алыпардым
1:гафу ит ,мин ошыгам.эйдя озак курешяек тя хям сойляшяек.
2:ярай.саубыл,шылтратырбыз.

1:саубыл

Перевод.

1:оо,привет,давно не виделись.

2:Привет,да.ка кпоживаешь?

1:Хорошо, вот сегодня первый день после болезни.

2::оо.устал?
 1:да.как сам поживаешь?какие дела решаешь?

2:я хорошо.вот вчера машина сломалась.сегодня на ремонт отвез.
1:извини,мне пора.давай на днях встретимся и пооворим.
2:хорошо.созвонимся.пока 

вот.простите,что но тут где нужно проставите таарские буквы.
 

 

4,5(66 оценок)
Это интересно:
Новые ответы от MOGZ: Математика
logo
Вход Регистрация
Что ты хочешь узнать?
Спроси Mozg
Открыть лучший ответ