М
Молодежь
К
Компьютеры-и-электроника
Д
Дом-и-сад
С
Стиль-и-уход-за-собой
П
Праздники-и-традиции
Т
Транспорт
П
Путешествия
С
Семейная-жизнь
Ф
Философия-и-религия
Б
Без категории
М
Мир-работы
Х
Хобби-и-рукоделие
И
Искусство-и-развлечения
В
Взаимоотношения
З
Здоровье
К
Кулинария-и-гостеприимство
Ф
Финансы-и-бизнес
П
Питомцы-и-животные
О
Образование
О
Образование-и-коммуникации
Георгий11712
Георгий11712
26.03.2021 17:54 •  Математика

Привет с заданиями по алгебре 8 класс. Фотография ниже

👇
Ответ:

ответ: В 9

Пошаговое объяснение:


Привет с заданиями по алгебре 8 класс. Фотография ниже
4,4(100 оценок)
Ответ:
lizochkanaumov1
lizochkanaumov1
26.03.2021

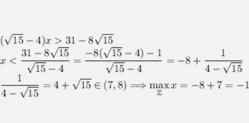
√15-4=√15-√16<0

Пошаговое объяснение:

Первый ответ


Привет с заданиями по алгебре 8 класс. Фотография ниже
4,5(12 оценок)
Открыть все ответы
Ответ:
Krowly
Krowly
26.03.2021
1) Расстояние от Москвы до Челябинска самолет пролетает за 2 часа, что в 18 раз быстрее, чем это расстояние проедет поезд. За сколько часов поезд доедет от Москвы до Челябинска?
2 х 18 = 36 (ч) - едет поезд от Москвы до Челябинска (это правда - скорый поезд № 13).

2) Велосипедист за 2 часа проехал 36 км, что в 6 раз больше, чем пешеход. Сколько км пешеход?
36 : 6 = 6 (км пешеход (медленный какой-то пешеход...).

3) Расстояние от дома до школы Оля проходит за 40 мин, что в 4 раза дольше, чем Оля идет до Катиного дома. За сколько минут Оля доходит до Катиного дома?
40 : 4 = 10 (мин) - Оля доходит до Катиного дома (подружка - ближе, может лучше пойти к ней, чем в школу?).

4) Кошка для своих котят утащила с тарелки 15 котлет, это в 5 раз больше, чем съела сама кошка. Сколько котлет съела кошка? 
15 : 5 = 5 (котлет) - съела кошка (как пострадали хозяева).

5) В Катином доме 364 квартиры, что в 7 раз больше, чем в доме у Оли. Сколько квартир в доме у Оли?
364: 7 = 52 (квартиры) - в доме у Оли (элитный домик).

6) Рост Антона 186 см, что в 3 раза больше, чем рост его брата. Какой рост у брата Антона?
186 : 3 = 62 (см) - рост мелкого брата (пешком под стол ещё ходит).

7) Папе 55 лет, что в 11 раз больше, чем сыну. Сколько лет сыну?
55 : 11 = 5 (лет) - сыну (староват папик).
 
8) В ящике 40 кг яблок, что в 2 раза больше, чем клубники в таком же ящике. Сколько весит ящик с клубникой? 
40 : 2 = 20 (кг) - клубники в таком же ящике (сомневаюсь, что в таком же).

9) В первом кинозале 340 кресел, что в 4 раза меньше, чем во втором кинозале. Сколько кресел а двух кинозалах?
340 х 4 = 1360 (кресел) - во втором кинозале (куда ходят по 5 человек на сеанк).

10) Рабочие за 1 час укладывают асфальтом 2/12 всей дороги. За сколько часов они уложат весь асфальт? 
2/12 = 1/6
ответ: весь асфальт работяги уложат за 6 часов (как раз за ночь, пока никто не видит).

11) девочке 15 лет, что составляет 3/7 возраста мамы. Сколько лет маме?
15 : 3 х 7 = 35 (лет) - маме (молодая мамаша).
или 15 : 3/7 = 35 (лет) - всё той же молодой маме.

12) За 45 мин девочка успевает решить 3/15 всех задач. За сколько мин девочка решит все задачи? 
45 : 3 х 15 = 225 (мин) - понадобится бедной девочке, чтобы решить все задачи.
или 45 : 3/15 = 225 (мин) - будет мучится девчурка на всеми задачами (3 часа 45 минут - издевательство над ребенком!).

Я решил все задачи, что были заданы на летние каникулы?
4,5(75 оценок)
Ответ:
yhaaa1212
yhaaa1212
26.03.2021
1) Расстояние от Москвы до Челябинска самолет пролетает за 2 часа, что в 18 раз быстрее, чем это расстояние проедет поезд. За сколько часов поезд доедет от Москвы до Челябинска?
2 х 18 = 36 (ч) - едет поезд от Москвы до Челябинска (это правда - скорый поезд № 13).

2) Велосипедист за 2 часа проехал 36 км, что в 6 раз больше, чем пешеход. Сколько км пешеход?
36 : 6 = 6 (км пешеход (медленный какой-то пешеход...).

3) Расстояние от дома до школы Оля проходит за 40 мин, что в 4 раза дольше, чем Оля идет до Катиного дома. За сколько минут Оля доходит до Катиного дома?
40 : 4 = 10 (мин) - Оля доходит до Катиного дома (подружка - ближе, может лучше пойти к ней, чем в школу?).

4) Кошка для своих котят утащила с тарелки 15 котлет, это в 5 раз больше, чем съела сама кошка. Сколько котлет съела кошка? 
15 : 5 = 5 (котлет) - съела кошка (как пострадали хозяева).

5) В Катином доме 364 квартиры, что в 7 раз больше, чем в доме у Оли. Сколько квартир в доме у Оли?
364: 7 = 52 (квартиры) - в доме у Оли (элитный домик).

6) Рост Антона 186 см, что в 3 раза больше, чем рост его брата. Какой рост у брата Антона?
186 : 3 = 62 (см) - рост мелкого брата (пешком под стол ещё ходит).

7) Папе 55 лет, что в 11 раз больше, чем сыну. Сколько лет сыну?
55 : 11 = 5 (лет) - сыну (староват папик).
 
8) В ящике 40 кг яблок, что в 2 раза больше, чем клубники в таком же ящике. Сколько весит ящик с клубникой? 
40 : 2 = 20 (кг) - клубники в таком же ящике (сомневаюсь, что в таком же).

9) В первом кинозале 340 кресел, что в 4 раза меньше, чем во втором кинозале. Сколько кресел а двух кинозалах?
340 х 4 = 1360 (кресел) - во втором кинозале (куда ходят по 5 человек на сеанк).

10) Рабочие за 1 час укладывают асфальтом 2/12 всей дороги. За сколько часов они уложат весь асфальт? 
2/12 = 1/6
ответ: весь асфальт работяги уложат за 6 часов (как раз за ночь, пока никто не видит).

11) девочке 15 лет, что составляет 3/7 возраста мамы. Сколько лет маме?
15 : 3 х 7 = 35 (лет) - маме (молодая мамаша).
или 15 : 3/7 = 35 (лет) - всё той же молодой маме.

12) За 45 мин девочка успевает решить 3/15 всех задач. За сколько мин девочка решит все задачи? 
45 : 3 х 15 = 225 (мин) - понадобится бедной девочке, чтобы решить все задачи.
или 45 : 3/15 = 225 (мин) - будет мучится девчурка на всеми задачами (3 часа 45 минут - издевательство над ребенком!).

Я решил все задачи, что были заданы на летние каникулы?
4,5(72 оценок)
Новые ответы от MOGZ: Математика
logo
Вход Регистрация
Что ты хочешь узнать?
Спроси Mozg
Открыть лучший ответ