Пошаговое объяснение:
******************************
Три карточки можно расположить так :
123, 132, 213, 231, 312, 321 - 6 вариантов (n=6)
Варианты по условию
132, 312, 213, 231 - 4 варианта ( m=4 )
Вероятность 
=========================================
Решение с формул
Общее количество перестановок трёх карточек

Если рассматривать две находящиеся рядом нечётные карточки как единую группу, то вторым элементом останется чётная карточка.Тогда количество благоприятных вариантов есть произведение двух перестановок, общей и внутри нечётной группы

Вероятность 
ответ : 2/3
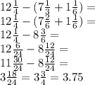
3.75
Пошаговое объяснение: