М
Молодежь
К
Компьютеры-и-электроника
Д
Дом-и-сад
С
Стиль-и-уход-за-собой
П
Праздники-и-традиции
Т
Транспорт
П
Путешествия
С
Семейная-жизнь
Ф
Философия-и-религия
Б
Без категории
М
Мир-работы
Х
Хобби-и-рукоделие
И
Искусство-и-развлечения
В
Взаимоотношения
З
Здоровье
К
Кулинария-и-гостеприимство
Ф
Финансы-и-бизнес
П
Питомцы-и-животные
О
Образование
О
Образование-и-коммуникации
макс10710
макс10710
19.03.2020 16:21 •  Математика

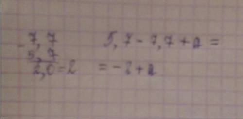
Упро­стить вы­ра­же­ние :

5,7-7,7+а. В от­ве­те на пер­вом месте за­пи­сать число, а потом букву.

👇
Ответ:
makareevakarina17
makareevakarina17
19.03.2020

Пошаговое объяснение:


Упро­стить вы­ра­же­ние : 5,7-7,7+а. В от­ве­те на пер­вом месте за­пи­сать число, а потом букву.
4,8(13 оценок)
Открыть все ответы
Ответ:
lusine07
lusine07
19.03.2020
1) Если прямоугольники имеют одинаковый периметр, то они равны=== это неверное утверждение. Например прямоугольники  со сторонами 8 и 2, и 6 и 4 имеют одинаковый Р=20, но при этом они не равны

2) Если один из двух прямоугольников имеет большую площадь, то он имеет и больший периметр=== это неверное утверждение. 
Например прямоугольники  со сторонами 6 и 4 (S=24,Р=20) и 9 и 2 (S=18, Р=22) 

3) Если два прямоугольника имеют одинаковую площадь, то их периметры равны === это неверное утверждение. 
Например прямоугольники  со сторонами 6 и 4 (S=24,Р=20) и 8 и 3 (S=24, Р=22) 

4) Если площадь одного прямоугольника меньше площади другого, то первый прямоугольник можно полностью 
расположить внутри второго.=== это неверное утверждение. 
Например прямоугольники  со сторонами 9 и 2 (S=18) и 6 и 4 (S=24) 
4,6(1 оценок)
Ответ:
лилия253
лилия253
19.03.2020
1) Нет. Периметр P=2a+2b=70.
Если a=41, то 2a=82 > 70.
2) Если хотя бы одна сторона должна быть целой, то: 36=3*12=3,6*10=4*9=4,5*8=5*7,2=6*6.
Всего 6 вариантов.
А если обе стороны должны быть целыми, то 3 варианта.
3) Сначала был прямоугольник x*y, x < y.
От него Оля отрезала 2 больших квадрата x*x.
y = 2x + k
Остался прямоугольник k*x, k < x. Отрезала квадрат k*k.
x = k + m
Остался прямоугольник m*k, m < k. Отрезала квадрат m*m.
k = m + n
Остался прямоугольник n*m, n < m. Отрезала квадрат n*n.
m = n + p
Получилось 3 меньших квадрата разной величины.
Остался p*n, который Оля разрезала на 2 квадрата 1*1.
Значит, p = 1; n = 2. Тогда
m = n + p = 2 + 1 = 3
k = m + n = 3 + 2 = 5
x = k + m = 5 + 3 = 8
y = 2x + k = 2*8 + 5 = 21
ответ: у Оли был прямоугольник 8*21 см.
4,6(45 оценок)
Это интересно:
Новые ответы от MOGZ: Математика
logo
Вход Регистрация
Что ты хочешь узнать?
Спроси Mozg
Открыть лучший ответ