М
Молодежь
К
Компьютеры-и-электроника
Д
Дом-и-сад
С
Стиль-и-уход-за-собой
П
Праздники-и-традиции
Т
Транспорт
П
Путешествия
С
Семейная-жизнь
Ф
Философия-и-религия
Б
Без категории
М
Мир-работы
Х
Хобби-и-рукоделие
И
Искусство-и-развлечения
В
Взаимоотношения
З
Здоровье
К
Кулинария-и-гостеприимство
Ф
Финансы-и-бизнес
П
Питомцы-и-животные
О
Образование
О
Образование-и-коммуникации
Mimi67392
Mimi67392
29.03.2020 02:12 •  Математика

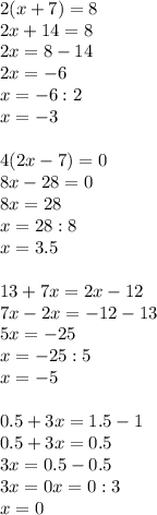
2 (х+7) =8
4(2х-7)=0
13+7х=2х-12
0,5+3х=1,5-1

👇
Ответ:
stolyarovsemen
stolyarovsemen
29.03.2020

Пошаговое объяснение:

2(x+7)=8\\2x+14=8\\2x=8-14\\2x= -6\\x= -6:2\\x= -3\\\\4(2x-7)=0\\8x-28=0\\8x=28\\x=28:8\\x=3.5\\\\13+7x=2x-12\\7x-2x= -12-13\\5x= -25\\x= -25:5\\x= -5\\\\0.5+3x=1.5-1\\0.5+3x=0.5\\3x=0.5-0.5\\3x=0x=0:3\\x=0

4,7(17 оценок)
Открыть все ответы
Ответ:
Artobotik
Artobotik
29.03.2020
А)  1) 7*16=112(р) заплатил за фломастеры
      2) 480-112=368(р) осталось на краску
      3) 368:8=46(т)  
      ответ 46 тюбиков краски можно купить.
б)   1) 3/8 от 16= 16:8*3= 6 (фл) расписал за первый месяц
       2) 16-6=10(фл) осталось после первого месяца
       3) 2/5от 10=10:5*2=4(фл) расписал во втором месяце.
        4) 10-4=6 (фл) осталось после двух месяцев рисования.
         5) 6:3=2(м) на столько хватит оставшихся фломастеров.
       ответ : после двух месяцев осталось 6 фломастеров, их хватит еще на два месяца.
4,8(5 оценок)
Ответ:
лиор20
лиор20
29.03.2020
1) 7/9:3,1=х:9,3                                                                                            7/9:3,1*3,1=х:9,3*3,1                                                                                   7/9=х:3                                                                                                         7/9*3=х                                                                                                         21/9=х                                                                                                         7/3=х                                                                                                                          2 1/3=х.
4,4(10 оценок)
Это интересно:
Новые ответы от MOGZ: Математика
logo
Вход Регистрация
Что ты хочешь узнать?
Спроси Mozg
Открыть лучший ответ