М
Молодежь
К
Компьютеры-и-электроника
Д
Дом-и-сад
С
Стиль-и-уход-за-собой
П
Праздники-и-традиции
Т
Транспорт
П
Путешествия
С
Семейная-жизнь
Ф
Философия-и-религия
Б
Без категории
М
Мир-работы
Х
Хобби-и-рукоделие
И
Искусство-и-развлечения
В
Взаимоотношения
З
Здоровье
К
Кулинария-и-гостеприимство
Ф
Финансы-и-бизнес
П
Питомцы-и-животные
О
Образование
О
Образование-и-коммуникации
alikhankoshpanov
alikhankoshpanov
19.03.2023 19:24 •  Математика

Решить уравнения

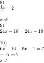
1)0,6x+1,7=0,3x-1,3

2)x/6-0,82=3x/8-1,37

3)4(x=3)=5(x-2)

4)(3x-7)-(5x+9)=11

5)-2(x-5)+3(x-4)=4x+1

6)x-3/6=7/9

7)3x-2/5=2+x/3

8)x+9/3-x-1/5=2

9)3(8x-6)=4(6x-4,5)

10)2(3x-8)-(6x+1)=7

👇
Ответ:
Solomina2
Solomina2
19.03.2023

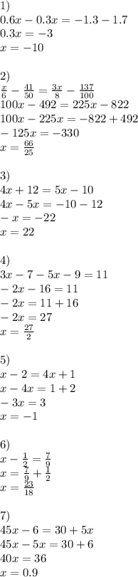
1)\\0.6x-0.3x=-1.3-1.7\\0.3x=-3\\x=-10\\\\2)\\\frac{x}{6} -\frac{41}{50} =\frac{3x}{8} -\frac{137}{100} \\100x-492=225x-822\\100x-225x=-822+492\\-125x=-330\\x=\frac{66}{25}\\\\3)\\4x+12=5x-10\\4x-5x=-10-12\\-x=-22\\x=22\\\\4)\\3x-7-5x-9=11\\-2x-16=11\\-2x=11+16\\-2x=27\\x=\frac{27}{2} \\\\5)\\x-2=4x+1\\x-4x=1+2\\-3x=3\\x=-1\\\\6)\\x-\frac{1}{2} =\frac{7}{9} \\x=\frac{7}{9} +\frac{1}{2} \\x=\frac{23}{18} \\\\7)\\45x-6=30+5x\\45x-5x=30+6\\40x=36\\x=0.9\\\\8)\\\frac{14}{5} =2\\\\x\neq \\9)\\24x-18=24x-18\\\\10)\\6x-16-6x-1=7\\-17=7\\x\neq\\

Пошаговое объяснение:

4,4(73 оценок)
Открыть все ответы
Ответ:
ANiTEZ
ANiTEZ
19.03.2023
ДАНО
V1 = 10 км/ч - скорость первого
V2 = 15 км/ч - скорость второго
V3 = 20 км/ч - скорость собаки
S = 100 км - расстояние до встречи
НАЙТИ
S3 = ? - путь собаки
ДУМАЕМ
Собака бегала всё время до встречи велосипедистов.
РЕШЕНИЕ
1) Vc = V1 + V2 = 10 + 15 = 25 км/ч- скорость сближения.
2) Tc = S : Vc = 100 : 25 = 4 ч - до встречи.
3) S3 = V3 * Tc = 20 км/ч * 4 ч = 80 км - путь собаки - ОТВЕТ
Дополнительно
Первый на велосипеде проехал = 10 км/ч * 4 ч =  40 км
Второй - 15 км*ч * 4 ч = 60 км,
А бедная собака - ногами  - 80 км.
4,8(21 оценок)
Ответ:
Yalcun
Yalcun
19.03.2023
5х-3 х=12+20.получается                                                                                   2 х=32                                                                                                                   х=16
4,5(19 оценок)
Это интересно:
logo
Вход Регистрация
Что ты хочешь узнать?
Спроси Mozg
Открыть лучший ответ