М
Молодежь
К
Компьютеры-и-электроника
Д
Дом-и-сад
С
Стиль-и-уход-за-собой
П
Праздники-и-традиции
Т
Транспорт
П
Путешествия
С
Семейная-жизнь
Ф
Философия-и-религия
Б
Без категории
М
Мир-работы
Х
Хобби-и-рукоделие
И
Искусство-и-развлечения
В
Взаимоотношения
З
Здоровье
К
Кулинария-и-гостеприимство
Ф
Финансы-и-бизнес
П
Питомцы-и-животные
О
Образование
О
Образование-и-коммуникации

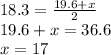
Скорость катера по течению 19,6 км/ч собственная скорость 18,3км/ч найдите скорость против течения катера

👇
Ответ:
eto1pizdech
eto1pizdech
23.12.2022

Vсобств=(Vпо+Vпротив)/2

18.3 = \frac{19.6 + x}{2} \\ 19.6 + x = 36.6 \\ x = 17

Vпротив=17

4,8(86 оценок)
Открыть все ответы
Ответ:
alyasen2006
alyasen2006
23.12.2022

120  =  2³  ·  3  ·  5

300  =  2²  ·  3  ·  5²

100  =  2²  ·  5²

наименьшее общее кратное  =  2³  ·  3  ·  5²  = 600

480  =  2^5  ·  3  ·  5

216  =  2³  ·  3³

144  =  2^4  ·  3²

наименьшее общее кратное  =  2^5  ·  3³  ·  5  = 4320

105  =  3  ·  5  ·  7

350  =  2  ·  5²  ·  7

140  =  2²  ·  5  ·  7

наименьшее общее кратное  =  3  ·  5²  ·  7  ·  2²  = 2100

280  =  2³  ·  5  ·  7

140  =  2²  ·  5  ·  7

224  =  2^5  ·  7

наименьшее общее кратное  =  2^5  ·  5  ·  7  = 1120

подробнее - на -

4,7(74 оценок)
Ответ:
kermantanja
kermantanja
23.12.2022

Шлифование древесины чаще всего включает две стадии — предварительную и окончательную. назначение первой — удалить следы грубой обработки (распиловки, фрезерования) материала, видимые неровности или старое покрытие, а второй — добиться выровненной гладкой и чистой поверхности.

В качестве твердых частиц шкурки, предназначенной для предварительной обработки древесины шлифмашинами, в основном применяют частицы оксида алюминия (электрокорунда) с добавками (обычно с оксидом хрома). Такая шкурка имеет рыжевато-коричневый цвет. Используются также зерна более мягкого граната, которые быстрее изнашиваются, но при одинаковом с электрокорундом размере дают очень гладкую поверхность. Шкурка с гранатом окрашена в оранжевый цвет. Для окончательной шлифовки древесины лучше всего подходит шкурка с частицами карбида кремния, который обладает более высокой твердостью, чем два предыдущих материала. У такой шкурки серый или черный цвет. Стоит учесть, что при обработке карбидом кремния после шлифовки оксидом алюминия возможны небольшие изменения в опенке цвета поверхности древесины. Абразивные частицы приклеивают к основе, материалом которой чаще всего служат прочная бумага или хлопчатобумажная ткань с полиэфирной пропиткой, а также полиэстер или феноловая смола.

4,4(12 оценок)
Это интересно:
Новые ответы от MOGZ: Математика
logo
Вход Регистрация
Что ты хочешь узнать?
Спроси Mozg
Открыть лучший ответ