М
Молодежь
К
Компьютеры-и-электроника
Д
Дом-и-сад
С
Стиль-и-уход-за-собой
П
Праздники-и-традиции
Т
Транспорт
П
Путешествия
С
Семейная-жизнь
Ф
Философия-и-религия
Б
Без категории
М
Мир-работы
Х
Хобби-и-рукоделие
И
Искусство-и-развлечения
В
Взаимоотношения
З
Здоровье
К
Кулинария-и-гостеприимство
Ф
Финансы-и-бизнес
П
Питомцы-и-животные
О
Образование
О
Образование-и-коммуникации
feterina
feterina
28.09.2021 14:44 •  Математика

Два мандривника переобуваюсь на видстони 4,6 км один от одного , вони идут на застричь один одному и зустричаються через 0,8 годин. Найдите швидкисть кожного мандривника якщо швидкисть одного з них у 1,3 большая за швидкисть Мегого.

👇
Ответ:
rustam141
rustam141
28.09.2021

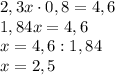
Скорость одного x км/ч, скорость другого 1,3x км/ч.

x+1,3x = 2,3x км/ч - скорость сближения.

За 0,8 часа км, то есть

2,3x\cdot0,8=4,6\\1,84x=4,6\\x=4,6:1,84\\x=2,5

Скорость одного 2,5 км/ч, скорость другого 2,5*1,3 = 3,25 км/ч.

4,5(80 оценок)
Открыть все ответы
Ответ:
drachl
drachl
28.09.2021

Тело, которое получилось, имеет веретенообразную форму: два конуса с одним общим основанием,

радиусr которого - высота ВО треугольника АВС, проведенная к стороне АС, вокруг которой треугольник вращается;

образующие - АВ и ВС соответственно;

высота каждого конуса - СО и ОА, сумма которых равна АС.

Объем тела вращения равен сумме объемов конусов:

V=v₁ +v₂

v₁=Sh₁:3=πr²h₁:3

v₂=Sh₂:3=πr²h₁:3

V=πr²h₁:3+πr²h₁:3=S(h₁+h₂):3=πr²*АС:3

Радиус r основания, общего для обоих конусов, найдем из площади треугольника АВС, найденной по формуле Герона.

Вычисления банальны, приводить поэтому иx не буду.

Площадь треугольника АВС равна 84

r=ВО=2S ᐃ АВС:АС=168:21=8

V =πr²*АС:3=π*64*21:3=448π

Площадь поверхности равна сумме площадей боковой поверхности конусов:

Sт.вр.=πrL₁+πrL₂=πr(L₁+L₁)

Sт.вр.=π*8*(10+17)=216π

4,7(97 оценок)
Ответ:
igorrusinov19
igorrusinov19
28.09.2021

Дано: прямоугольник

P = 60 см - периметр

b = a - 6 - ширина короче

НАЙТИ: S=? - площадь

Пошаговое объяснение:

Периметр по формуле:

P = 2*(a+b) = 60 см

a + b = P/2 = 60 : 2 = 30 см

Подставим выражение для ширины.

a + (a-6) = 30

2*a = 30+6 = 36

a = 36:2 = 18 см - длина

b = 18 - 6 = 12 см - длина

Площадь прямоугольника по формуле:

S = a*b = 18*12 = 216 см² - площадь большого.

Площадь квадрата по формуле:

s = a² = 6*6 = 36 см² - площадь малого квадрата.

Находим число квадратов по задаче

N = S/s = 216:36 = 6 штук квадратов - ответ.

4,4(88 оценок)
Это интересно:
Новые ответы от MOGZ: Математика
logo
Вход Регистрация
Что ты хочешь узнать?
Спроси Mozg
Открыть лучший ответ