М
Молодежь
К
Компьютеры-и-электроника
Д
Дом-и-сад
С
Стиль-и-уход-за-собой
П
Праздники-и-традиции
Т
Транспорт
П
Путешествия
С
Семейная-жизнь
Ф
Философия-и-религия
Б
Без категории
М
Мир-работы
Х
Хобби-и-рукоделие
И
Искусство-и-развлечения
В
Взаимоотношения
З
Здоровье
К
Кулинария-и-гостеприимство
Ф
Финансы-и-бизнес
П
Питомцы-и-животные
О
Образование
О
Образование-и-коммуникации
EseniaVoznesenskaya
EseniaVoznesenskaya
21.11.2022 09:32 •  Математика

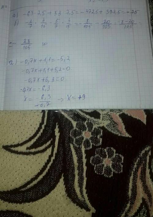
Ато мне ценок : ( вычислите: а) -63 * 7,5 + 53 * 7,5= б) - 2/7 * 4/15 - 5/7 * 4/15 * = решите уравнение: а) - 0,7х + 1,1 = -5,2 , развёрнутые ответы. что бы было всё чётко и понятно.

👇
Ответ:
Оксана1241
Оксана1241
21.11.2022

++++++++++++++++++++


Ато мне ценок : ( вычислите: а) -63 * 7,5 + 53 * 7,5= б) - 2/7 * 4/15 - 5/7 * 4/15 * = решите уравне
4,5(62 оценок)
Открыть все ответы
Ответ:
Angelina626
Angelina626
21.11.2022
Дано: Р(ABD) = 12 см
P(BDC) = 30 см
P(ABCD) = 32 см
Найти: BD
Решение:
Р(АВСD) = AB + BC + CD + AD 
Р(ABD) = AB + AD + BD
P(BDC) = BC + CD + BD, т.е.сторона BD считается в периметре каждого треугольника, а в четырехугольнике она является диагональю и в периметре не считается, в то время, как другие две стороны каждого треугольника входят в периметр.
     Сложим периметры треугольников:
Р(АВD) + P(BDC) = AB + AD + BD + BC + CD + BD  = Р(ABCD) +  2BD
2BD = P(ABD) + P(BDC) - P(ABCD) 
BD = [P(ABD) + P(BDC) - P(ABCD)]/2 = (12 + 30 - 32)/2 = 10/2 = 5 (см)
ответ: BD = 5 см
Периметр треугольника abd равен 12 см, периметр треугольника bdc -30 см, а периметр четырехугольника
4,5(7 оценок)
Ответ:
dasha190800
dasha190800
21.11.2022
30+12=42см
42-32=10см
10/2=5см
думаю так, потому что периметр-это сумма длин всех сторон любой фигуры,
у двух треугольников есть общая сторона (BD), вместе эти два треугольника образуют четырехугольник (те его периметр это тоже самое, что сумма периметров входящих в него треугольников за вычетом как раз длины этой общей стороны, которая внутри этого четырехугольника по диагонали)
так что можно сложить периметры треугольников и вычесть периметр четырехугольника - получим длину BD умноженную на 2 - так как периметр каждого треугольника содержит эту величину, останется разделить на 2
Все 
4,8(42 оценок)
Это интересно:
Новые ответы от MOGZ: Математика
logo
Вход Регистрация
Что ты хочешь узнать?
Спроси Mozg
Открыть лучший ответ