М
Молодежь
К
Компьютеры-и-электроника
Д
Дом-и-сад
С
Стиль-и-уход-за-собой
П
Праздники-и-традиции
Т
Транспорт
П
Путешествия
С
Семейная-жизнь
Ф
Философия-и-религия
Б
Без категории
М
Мир-работы
Х
Хобби-и-рукоделие
И
Искусство-и-развлечения
В
Взаимоотношения
З
Здоровье
К
Кулинария-и-гостеприимство
Ф
Финансы-и-бизнес
П
Питомцы-и-животные
О
Образование
О
Образование-и-коммуникации
hctgdhtfh
hctgdhtfh
20.03.2020 13:50 •  Математика

Решить Уравнение:
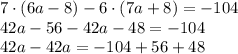
7⋅(6a−8)−6⋅(7a+8)=−104.

👇
Ответ:
Danya294
Danya294
20.03.2020

7\cdot (6a-8)-6\cdot(7a+8)=-104\\42a-56-42a-48=-104\\42a-42a=-104+56+48

0 = 0    - верное равенство, не зависит от значения переменной

ответ : а - любое число,  а ∈ R

4,8(45 оценок)
Открыть все ответы
Ответ:
misterpordon
misterpordon
20.03.2020

Наверное, это будет не очень понятно, но ...

Четное число имеет вид  -- 2n

Нечетное число  -- 2 n+1

ПО условию: 2n+(2n+1)+(2n+1)+(2n+1)+(2n+1) + ... четное число раз (2n+1)=

раскрываем скобки

=2n+2n+2n+2n+2n+1+1+1+1+...2n+1 =2*(n+n+n+n+n+...)+(1+1+1+1+...) =

                                                                                                чётное количество 1

 

сумма четных чисел дает четное число всегда, так как она (сумма) делится нацело на 2. Рассмотрим сумму четного количества единиц.  1+1+1+1...+1 = четное число. Опять получаем сумму четных чисел , а она всегда делится на 2, ибо двойку всегда можно вынести за скобку, а значит на неё можно разделить! Всё! Надеюсь, что более-менее понятно!  :) 

4,7(79 оценок)
Ответ:
Як12
Як12
20.03.2020

Наверное, это будет не очень понятно, но ...

Четное число имеет вид  -- 2n

Нечетное число  -- 2 n+1

ПО условию: 2n+(2n+1)+(2n+1)+(2n+1)+(2n+1) + ... четное число раз (2n+1)=

раскрываем скобки

=2n+2n+2n+2n+2n+1+1+1+1+...2n+1 =2*(n+n+n+n+n+...)+(1+1+1+1+...) =

                                                                                                чётное количество 1

 

сумма четных чисел дает четное число всегда, так как она (сумма) делится нацело на 2. Рассмотрим сумму четного количества единиц.  1+1+1+1...+1 = четное число. Опять получаем сумму четных чисел , а она всегда делится на 2, ибо двойку всегда можно вынести за скобку, а значит на неё можно разделить! Всё! Надеюсь, что более-менее понятно!  :) 

4,5(20 оценок)
Это интересно:
Новые ответы от MOGZ: Математика
logo
Вход Регистрация
Что ты хочешь узнать?
Спроси Mozg
Открыть лучший ответ