М
Молодежь
К
Компьютеры-и-электроника
Д
Дом-и-сад
С
Стиль-и-уход-за-собой
П
Праздники-и-традиции
Т
Транспорт
П
Путешествия
С
Семейная-жизнь
Ф
Философия-и-религия
Б
Без категории
М
Мир-работы
Х
Хобби-и-рукоделие
И
Искусство-и-развлечения
В
Взаимоотношения
З
Здоровье
К
Кулинария-и-гостеприимство
Ф
Финансы-и-бизнес
П
Питомцы-и-животные
О
Образование
О
Образование-и-коммуникации
panicheviwan
panicheviwan
29.03.2020 02:49 •  Математика

Мой мозг не переваривает это, ЭТО СЛИШКОМ СЛОЖНО математика 6 класс, если что ​

👇
Ответ:
Elenakurdoglo
Elenakurdoglo
29.03.2020

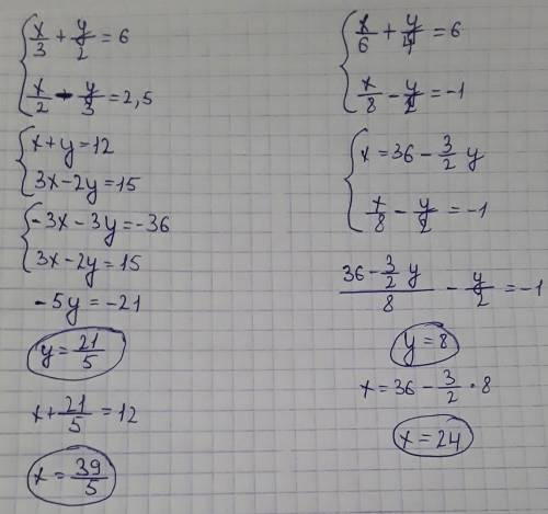
Как то так)))))))

а так можно и другими решить,но я решила по методом подстановки


Мой мозг не переваривает это, ЭТО СЛИШКОМ СЛОЖНО математика 6 класс, если что ​
4,8(12 оценок)
Открыть все ответы
Ответ:

Школьные Знания.com

Какой у тебя вопрос?

1

Избавься от ограничений

ПОПРОБУЙ ЗНАНИЯ ПЛЮС СЕГОДНЯ

Nurgulakmatova75

Nurgulakmatova75

10.12.2018

Математика

5 - 9 классы

ответ дан • проверенный экспертом

Катет треугольника равен 10 м,гипотенуза 26м,а площадь 120 квадратных метров.Определите его периметр

1

СМОТРЕТЬ ОТВЕТ

Войди чтобы добавить комментарий

ответ, проверенный экспертом

4,4/5

53

katesik

середнячок

12 ответов

1 тыс. пользователей, получивших

Первый вариант решения:

120= (10*x)/2 ( площадь прямоугольного треугольника равна половине произведения катетов)

120=5*х

х=24

Периметр: 24+10+26=60м

второй вариант решения:

х^2= 26^2-10^2 ( по теореме Пифагора)

х^2= 676-100

х^2= 576

х=24

Периметр: 24+10+26= 60м

4,7(56 оценок)
Ответ:
kolombiachka7800
kolombiachka7800
29.03.2020

Пошаговое объяснение:

Исходное уравнение имеет вид:

12x + y = 17 ;

И как мы видим, y находится в левой части уравнения. Значит, чтобы выразить y через x, мы должны оставить y в левой части уравнения(так как перед y стоит " + ", то это будет оптимальным решением, если бы перед y стоял " - ", следовало бы его перенести в правую часть уравнения), а число, умноженное на x(то есть 12x), перенести в правую часть уравнения. Получаем в результате:

y = 17 - 12x (12x изменит свой математический знак, исходя из соответствующих правил математики).

4,5(26 оценок)
Это интересно:
Новые ответы от MOGZ: Математика
logo
Вход Регистрация
Что ты хочешь узнать?
Спроси Mozg
Открыть лучший ответ