М
Молодежь
К
Компьютеры-и-электроника
Д
Дом-и-сад
С
Стиль-и-уход-за-собой
П
Праздники-и-традиции
Т
Транспорт
П
Путешествия
С
Семейная-жизнь
Ф
Философия-и-религия
Б
Без категории
М
Мир-работы
Х
Хобби-и-рукоделие
И
Искусство-и-развлечения
В
Взаимоотношения
З
Здоровье
К
Кулинария-и-гостеприимство
Ф
Финансы-и-бизнес
П
Питомцы-и-животные
О
Образование
О
Образование-и-коммуникации
2899101714lp
2899101714lp
25.02.2020 06:55 •  Математика

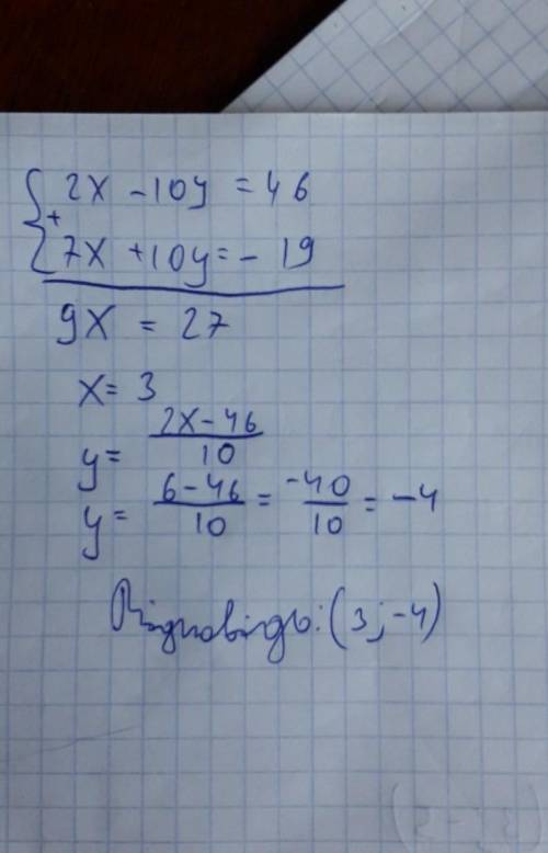
Решите систему уравнений сложения:
(2х-10у=46
7х+10у=-19)

👇
Ответ:
Ol3ksa
Ol3ksa
25.02.2020

оооооооооооооооооооооо


Решите систему уравнений сложения: (2х-10у=46 7х+10у=-19)
4,6(64 оценок)
Открыть все ответы
Ответ:
MillaGuper
MillaGuper
25.02.2020
Const n = 20;
var arrA, arrC: array[1..n] of real;
i, j: byte;
sum: real; 

begin
 randomize;
 writeln('Array A:');
for i:=1 to n do begin
 arrA[i] := random() * 10 - 5;
  write(arrA[i]:6:2);
 if i mod 10 = 0 then writeln;
end;  

 i := 2;
j := 0;
sum := 0;
 while i <= n do begin
  if arrA[i] > 0 then begin
 j := j + 1;
   arrC[j] := arrA[i];
   sum := sum + arrC[j] * arrC[j];
 
end;
 i := i + 2;
end; 
 writeln('Array C:');
 for i:=1 to j do write(arrC[i]:6:2);
writeln;
 writeln('sq.sum = ', sum:5:2);
 end.
4,5(24 оценок)
Ответ:
kuppols
kuppols
25.02.2020
Функция у = sin х периодична с периодом 2π;. Поэтому для построения всего графика этой функции достаточно кривую, изображенную на рисунке, продолжить влево и вправо периодически с периодом 2π.1) Функция у = sin х определена для всех значений х, так что областью ее определения является совокупность всех действительных чисел.

2) Функция у = sin х ограничена. Все значения, которые она принимает, заключены в интервале от —1 до 1, включая эти два числа. Следовательно, область изменения этой функции определяется неравенством —1< у < 1. При х = π/2 + 2kπ функция принимает наибольшие значения, равные 1, а при х = — π/2 + 2kπ — наименьшие значения, равные — 1.

3) Функция у = sin х является нечетной (синусоида симметрична относительно начала координат).

4) Функция у = sin х периодична с периодом 2π.

5) В интервалах 2nπ < x < π + 2nπ (n — любое целое число) она положительна, а в интервалах π + 2kπ < х < 2π + 2kπ (k — любое целое число) она отрицательна. При х = kπ функция обращается в нуль. Поэтому эти значения аргумента х (0; ±π; ±2π; ...) называются нулями функции у = sin x

6) В интервалах — π/2 + 2nπ < х < π/2 + 2nπ функция у = sin x монотонно возрастает, а в интервалах π/2 + 2kπ < х < 3π/2 + 2kπ она монотонно убывает.

Cледует особо обратить внимание на поведение функции у = sin x вблизи точки х= 0.

Как видно из рисунка , в окрестности точки х = 0 синусоида почти сливается с биссектрисой 1-го и 3-го координатных углов. Поэтому при малых углах х, выраженных в радианах, или при малых по абсолютной величине числовых значениях х (как положительных, так и отрицательных)

sin x ≈ x.Например, sin 0,012 ≈ 0,012; sin (—0,05) ≈ —0,05;

sin 2° = sin π • 2 /180 = sin π/90 ≈ 0,03 ≈ 0,03.

Вместе с тем следует отметить, что при любых значениях х

| sin x | < | x |. (1)

Действительно, пусть радиус окружности, представленной на рисунке, равен 1, 
a / AОВ = х.Тогда sin x = АС. Но АС < АВ, а АВ, в свою очередь, меньше длины дуги АВ, на которую опирается угол х. Длина этой дуги равна, очевидно, х, так как радиус окружности равен 1. Итак, при 0 < х < π/2

sin х < х.

Отсюда в силу нечетности функции у = sin x легко показать, что при — π/2 < х < 0

| sin x | < | x |. 

Наконец, при x = 0

| sin x | = | x |.

Таким образом, для | х | < π/2 неравенство (1) доказано. На самом же деле это неравенство верно и при | x | > π/2 в силу того, что | sin х | < 1, а π/2 > 11.По графику функции у = sin x определить: a) sin 2; б) sin 4; в) sin (—3).

2.По графику функции у = sin x определить, какое число из интервала 
[ — π/2 , π/2] имеет синус, равный: а) 0,6; б) —0,8.

3. По графику функции у = sin x определить, какие числа имеют синус, 
равный 1/2.

4. Найти приближенно (без использования таблиц): a) sin 1°; б) sin 0,03; 
в) sin (—0,015); г) sin (—2°30').
4,6(81 оценок)
Это интересно:
Новые ответы от MOGZ: Математика
logo
Вход Регистрация
Что ты хочешь узнать?
Спроси Mozg
Открыть лучший ответ