М
Молодежь
К
Компьютеры-и-электроника
Д
Дом-и-сад
С
Стиль-и-уход-за-собой
П
Праздники-и-традиции
Т
Транспорт
П
Путешествия
С
Семейная-жизнь
Ф
Философия-и-религия
Б
Без категории
М
Мир-работы
Х
Хобби-и-рукоделие
И
Искусство-и-развлечения
В
Взаимоотношения
З
Здоровье
К
Кулинария-и-гостеприимство
Ф
Финансы-и-бизнес
П
Питомцы-и-животные
О
Образование
О
Образование-и-коммуникации
Duxa22
Duxa22
21.08.2021 22:56 •  Математика

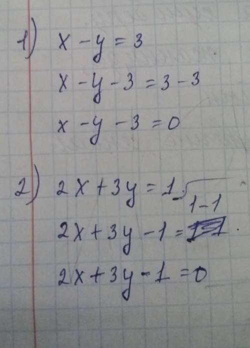
{x-y=3
2x+3y=1
розв'язати додавання

👇
Ответ:
Табалаев
Табалаев
21.08.2021

x=2, y=-1

Пошаговое объяснение:

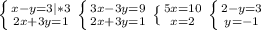
\left \{ {{x-y=3 | *3} \atop {2x+3y=1}} \right. \left \{ {{3x-3y=9} \atop {2x+3y=1}} \right. \left \{ {{5x=10} \atop {x=2}} \right. \left \{ {{2-y=3} \atop {y=-1}} \right.

4,7(41 оценок)
Ответ:
jamikzara
jamikzara
21.08.2021

провильно ответ.......................

÷) (=


{x-y=3 2x+3y=1 розв'язати додавання
4,5(1 оценок)
Открыть все ответы
Ответ:
darareutova376
darareutova376
21.08.2021
Мне 12 лет.Я живу в городе Тараз. Я очень люблю танцевать.Я умею делать :Перекидки, Колесо,Мостик.Я очень хочу пойти на Черлидинг.
Но родители мне не разрешают.Ведь чтобы туда добраться нужно очень много времени.
Но моя мечта на день рождения это пойти на танцы и я всё токи думаю что на сбудется.
Ну вот уже наступил мой день рождения .Я не знаю что мне подарят родители.
Ну вот гости собрались и мои подружки и мама с папой и бабушка с дедушкой.
И говорят мне:Тебе уже 12 лет мы не знали что тебе подарить и мы все решили записать тебя на танцы мы надеимся что ту будишьочень рада.
И тут на моём лице вскочила счастливая  улыбка и вдруг внезапно потекли слёзы.
Я сказала огромное маме бабушке
Ну вот уже не сколько лет у меня есть много золотых медалей,и Депломов.
Я очень рада и блогодарна  свои родителям .
4,7(96 оценок)
Ответ:
Rokwe
Rokwe
21.08.2021

1: 
1/8*480 000=60 000 (руб. оставлено жене)
480 000-60 000=420 000 (остаток на детей всех)
Детей четверо, из них 3 сына и 1 дочь
если сыновья получили вдвое больше. то можно считать что все наследство разделили на 7 частей.Из них по две получили 3 сына и одну — дочь
420 000/7=60 000(руб)- это одна часть и столько досталось дочке
60 000*2=120 000(руб)- по столько досталось каждому сыну
Проверим: 60 000+120 000*3 +60 000=120 000+360 000=480 000

Дополнительное задание:

Математика: Реши уравниние 250:х-26×2=52

1: 
250:x=52+26×2
250:x=104
X=250:104
Это трудно для 4 класса, мне кажется ты не правильно записала задание

Дополнительное задание:

Математика: Как сократить ? 2 (х-10.8) скажите

1: 
2х-21.6 вроде бы так посмотри
2: 
2×-21.6
x=10.8
вот так

4,6(81 оценок)
Новые ответы от MOGZ: Математика
logo
Вход Регистрация
Что ты хочешь узнать?
Спроси Mozg
Открыть лучший ответ