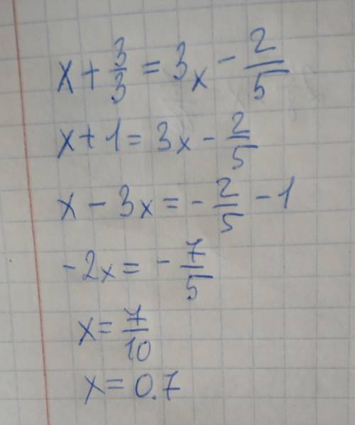
х+3/3=3х-2/5;
х+3/3=3х-0,4;
х+3/3=2,6х;
х+1=2,6х;
х+1=3,6;
х=3,6-1;
х=2,6
ответ: 2,6.
Если вторая кормежка на вторник - четное количество дней (а в неделе 7 дней, нечетное, значит четное/нечетное должны чередоваться). Значит по нечетным неделям четное-нечетное чередуется, а по четным неделям четное переходит в четное, нечетное в нечетное. Значит смотрим ЧЕТВЕРТУЮ неделю, то есть ЧЕТНУЮ, понедельник был нечетным днем, значит кормежка возможно тоже по нечетным дням: понедельник, среда, пятница, воскресенье. (Тут конечно условимся что с понедельника начинается неделя, а не как у британцев с воскресенья, иначе ошибки могут возникнуть из-за путаницы).
То есть ответ: в воскресенье возможно, в субботу нет.
49.76 см²
Пошаговое объяснение:
Находим сначала площади круга и квадрата :
S=
R² - площадь круга
≈3,14
S=a² - площадь квадрата
Площадь круга:
Нам известен диаметр d=8см
Если находить радиус через диаметр,то d=2R =>R=
Вычислим радиус: R=8/2 => R=4 см
Теперь найдём площадь круга:
S=
*4² = 50.24 см²
Площадь квадрата:
Нам известно сторона a = 10 см
Из свойства квадрата : У квадрата все стороны равны ,поэтому:
S=10²=100 см²
Теперь найдём площадь закрашенной фигуры:
Sф=Sкв. - Sкруга => Sф=100 - 50.24 = 49.76 см²
Решение во вложении.