М
Молодежь
К
Компьютеры-и-электроника
Д
Дом-и-сад
С
Стиль-и-уход-за-собой
П
Праздники-и-традиции
Т
Транспорт
П
Путешествия
С
Семейная-жизнь
Ф
Философия-и-религия
Б
Без категории
М
Мир-работы
Х
Хобби-и-рукоделие
И
Искусство-и-развлечения
В
Взаимоотношения
З
Здоровье
К
Кулинария-и-гостеприимство
Ф
Финансы-и-бизнес
П
Питомцы-и-животные
О
Образование
О
Образование-и-коммуникации
LineyNikki
LineyNikki
20.09.2022 15:43 •  Математика

(x^2+37x+37)(x^2+x+37)=37x^2, , решала через замену, не получается

👇
Ответ:
AvdeevaJanna14
AvdeevaJanna14
20.09.2022
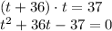
Разделим обе части уравнения на x²≠0

\displaystyle \frac{1}{x} \bigg( x^2+37x+37\bigg)\cdot \frac{1}{x}\bigg(x^2+x+37\bigg)=37\\ \\ \\ \bigg( x+ \frac{37}{x}+37\bigg)\bigg(x+ \frac{37}{x}+1\bigg)=37

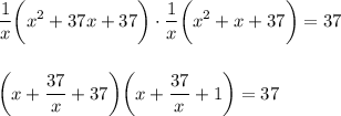
Пусть \bigg(x+ \dfrac{37}{x}+1\bigg)=t, тогда получаем

(t+36)\cdot t=37\\ t^2+36t-37=0

По т. Виета:

t_1=-37\\ t_2=1

Обратная замена

x+ \dfrac{37}{x}+1=-37|\cdot x\\ \\ x^2+38x+37=0

По т. Виета:
x_1=-37\\ x_2=-1

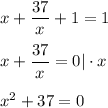
x+ \dfrac{37}{x}+1=1\\ \\ x+ \dfrac{37}{x}=0|\cdot x\\ \\ x^2+37=0
Левая часть уравнение принимает только положительные значения, следовательно уравнение решений не имеет

ответ: x=-37; x=-1
4,6(25 оценок)
Открыть все ответы
Ответ:
tsyhanenkok
tsyhanenkok
20.09.2022

ответ:3

Пошаговое объяснение:

1.Нужно узнать сколько было команд

рас парт заняли 15 значит было больше 30 человек потому что 15*2=30(умножение потому что двухместные парты)

Выесняем что в 1 команде 8 людей значит 8*3 будет 24 а надо больше 30 8*4 ровно 32 вот это правельно

2.Из 1 мы узнали скоко команд и людей зашли в класс.

теперь узнаем сколько осталось это легко 20*2=40 всего 40 мест

40-32=8 ост мест

и ост 2 людя чтоб сели как узнали?

32-30=2 Вот так и узнали и 2 сели по 1 месту занято 17 парт осталось не занятых парт 3 узнали:

20-17=3

4,6(64 оценок)
Ответ:
zenalubimova
zenalubimova
20.09.2022

Пошаговое объяснение:

2.Рассмотрим произвольную пару. Пусть в этой паре у девочки a орехов, тогда у мальчика их 2a, значит, в каждой паре всего 3a орехов, или число орехов кратное трем. Таким образом, если посчитать все орехи, то их число тоже будет делиться на три, так как число всех орехов получается путем суммирования числа орехов в каждой паре. Но 100 не делится на 3. Значит, такого быть не могло.

3.64:16=4

Первое условие означает, что делимое : делитель = 4. Значит, частное = 4. Тогда делитель = частное · 4 = 16, а делимое = делитель · 4 = 64.

4,5(95 оценок)
Это интересно:
Новые ответы от MOGZ: Математика
logo
Вход Регистрация
Что ты хочешь узнать?
Спроси Mozg
Открыть лучший ответ