М
Молодежь
К
Компьютеры-и-электроника
Д
Дом-и-сад
С
Стиль-и-уход-за-собой
П
Праздники-и-традиции
Т
Транспорт
П
Путешествия
С
Семейная-жизнь
Ф
Философия-и-религия
Б
Без категории
М
Мир-работы
Х
Хобби-и-рукоделие
И
Искусство-и-развлечения
В
Взаимоотношения
З
Здоровье
К
Кулинария-и-гостеприимство
Ф
Финансы-и-бизнес
П
Питомцы-и-животные
О
Образование
О
Образование-и-коммуникации
evozniukk
evozniukk
23.07.2021 16:24 •  Математика

12. найдите значение выражения

👇
Ответ:
nyto4ek
nyto4ek
23.07.2021
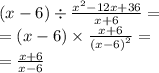
(x - 6) \div \frac{ {x}^{2} - 12x + 36 }{x + 6} = \\ = (x - 6) \times \frac{x + 6}{ {(x - 6)}^{2} } = \\ = \frac{x + 6}{x - 6}
Таким образом, при х=-10 получаем
\frac{ - 10 + 6}{ - 10 - 6} = \frac{ - 4}{ - 16} = \frac{1}{4} = 0.25 \\
4,5(69 оценок)
Открыть все ответы
Ответ:
Redddit
Redddit
23.07.2021
1) 5ч=17ч просто в обычное время перевожу
17 - 10 =7(ч) шла первая группа
2) 7 *4=28(км)весь путь
3) 28:14=2(ч) вторая группа добиралась
4) 10+2=12 (ч) пришла 
ответ: в 12 часов
Две группы туристов отправились из села Грибное в село Ягодное в 10 ч утра. Первая группа двигалась пешком по берегу реки со скоростью 4 км/ч, а вторая - вдоль берега на лодках со скоростью 14 км/ч. Вторая группа добралась до места к 12 ч дня. В какое время прибыла в село Ягодное первая группа туристов? 
1) 12 - 10 =2(ч) шла вторая группа
2) 2 *14=28(км)весь путь
3) 28:4=7(ч) первая группа добиралась
4) 10+7=17 (ч) пришла т.е. в 5 часов вечера
ответ:в 5 часов вечера
4,6(96 оценок)
Ответ:
tatyankasas
tatyankasas
23.07.2021
1) 5ч=17ч просто в обычное время перевожу
17 - 10 =7(ч) шла первая группа
2) 7 *4=28(км)весь путь
3) 28:14=2(ч) вторая группа добиралась
4) 10+2=12 (ч) пришла 
ответ: в 12 часов
Две группы туристов отправились из села Грибное в село Ягодное в 10 ч утра. Первая группа двигалась пешком по берегу реки со скоростью 4 км/ч, а вторая - вдоль берега на лодках со скоростью 14 км/ч. Вторая группа добралась до места к 12 ч дня. В какое время прибыла в село Ягодное первая группа туристов? 
1) 12 - 10 =2(ч) шла вторая группа
2) 2 *14=28(км)весь путь
3) 28:4=7(ч) первая группа добиралась
4) 10+7=17 (ч) пришла т.е. в 5 часов вечера
ответ : в 5 часов вечера
4,7(53 оценок)
Это интересно:
Новые ответы от MOGZ: Математика
Полный доступ к MOGZ
Живи умнее Безлимитный доступ к MOGZ Оформи подписку
logo
Вход Регистрация
Что ты хочешь узнать?
Спроси Mozg
Открыть лучший ответ