М
Молодежь
К
Компьютеры-и-электроника
Д
Дом-и-сад
С
Стиль-и-уход-за-собой
П
Праздники-и-традиции
Т
Транспорт
П
Путешествия
С
Семейная-жизнь
Ф
Философия-и-религия
Б
Без категории
М
Мир-работы
Х
Хобби-и-рукоделие
И
Искусство-и-развлечения
В
Взаимоотношения
З
Здоровье
К
Кулинария-и-гостеприимство
Ф
Финансы-и-бизнес
П
Питомцы-и-животные
О
Образование
О
Образование-и-коммуникации
таня2033
таня2033
31.10.2022 07:05 •  Математика

Ребята умаляю кто правильно на листочке сделает

👇
Ответ:
Сл2064
Сл2064
31.10.2022

На фото ниже

Пошаговое объяснение:


Ребята умаляю кто правильно на листочке сделает
4,7(90 оценок)
Ответ:

Відповідь:

Покрокове пояснення:

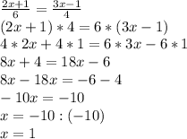
1)

\frac{2x+1}{6}= \frac{3x-1}{4} \\(2x+1)*4=6*(3x-1)\\4*2x+4*1=6*3x-6*1\\8x+4=18x-6\\8x-18x=-6-4\\-10x=-10\\x=-10:(-10)\\x=1\\  

2)

x:2.5=8\frac{4}{7} :2\frac{1}{7} \\\frac{x}{2.5} =\frac{8\frac{4}{7}}{2\frac{1}{7}} \\2\frac{1}{7}*x=2.5*8\frac{4}{7}\\\frac{15x}{7} =\frac{25}{10} *\frac{60}{7} \\\frac{15x}{7} =\frac{25}{1} *\frac{6}{7} \\\frac{15x}{7} =\frac{25*6}{1*7}\\\frac{15x}{7} =\frac{150}{7}\\15x*7=150*7\\105x=1050\\x=1050:105\\x=10

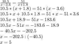
3)

\frac{10.5}{x-3.6} =\frac{51}{x+1.8} \\10.5*(x+1.8)=51*(x-3.6)\\10.5*x+10.5*1.8=51*x-51*3.6\\10.5x+18.9=51x-183.6\\10.5x-51x=-183.6-18.9\\-40.5x=-202.5\\x=-202.5:(-40.5)\\x=5

4,6(80 оценок)
Открыть все ответы
Ответ:
Марина1212х
Марина1212х
31.10.2022
... Я был в его группе Pascaly, которые дают представления в Черновцах. Еминеску, суфлер, с некоторыми пешеходных ботинках разбитых в горе им кое-какую одежду. И он заметил, Pascaly директор. -Я Замечание? -Нет. Я спросил, если он не имеет ничего лучше. Я ответил, что поэт имеет. -Ну, Купить ваши ... - Чтобы купить мне ... Но я пятаков. -Poftim Пятьдесят леев ... Позволь мне жить сегодня с обувью и одеждой! Вы понимаете? -Я Поймите, ответил Эминеску, которые берут деньги и покинуть город. Когда он вернулся вечером, я беру короткий Pascaly: Вы купили одежду и ботинки, сэр? Да! -Где? -Look Их. И дал полное собрание сочинений Гете и Гейне. Посмотрите, сапоги и одежда ... Дополнен 4 года назад

Это была красота! Классический рисунок, обрамленный какой-нибудь большой волосатая, черная. Высокий лоб и безмятежный, некоторые крупные глаза ...- окна души; ... Нежный улыбка и глубокую меланхолию. Он имел вид молодого святого, происходил из древней иконой, ребенок предопределил боли, которые видят надпись на лице будущей мучений. -Я Рекомендуют Михая Эминеску! Так что я знал, я ...
4,5(64 оценок)
Ответ:
адильнури
адильнури
31.10.2022
      5         5                                                        68
7 +       = 7   (семь целых пять девятых)  или
      9         9                                                         9

1                   1                                                       121
     + 10  =  10   (десять одна двенадцатая)  или
12                 12                                                       12

         1       8
3  -       =   2  (две целых восемь девятых)
         9       9

 5          5
6  - 4 = 2
 7          7

 7           7
1   - 0 = 1           (-_-)
 10         10
4,8(13 оценок)
Это интересно:
Новые ответы от MOGZ: Математика
logo
Вход Регистрация
Что ты хочешь узнать?
Спроси Mozg
Открыть лучший ответ