М
Молодежь
К
Компьютеры-и-электроника
Д
Дом-и-сад
С
Стиль-и-уход-за-собой
П
Праздники-и-традиции
Т
Транспорт
П
Путешествия
С
Семейная-жизнь
Ф
Философия-и-религия
Б
Без категории
М
Мир-работы
Х
Хобби-и-рукоделие
И
Искусство-и-развлечения
В
Взаимоотношения
З
Здоровье
К
Кулинария-и-гостеприимство
Ф
Финансы-и-бизнес
П
Питомцы-и-животные
О
Образование
О
Образование-и-коммуникации
katyagulina666
katyagulina666
12.06.2020 16:22 •  Математика

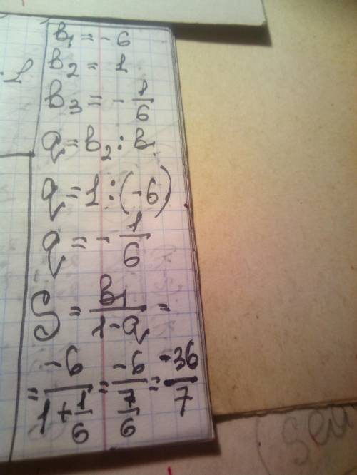
( 15 б, ета 9 клас )Знайдіть суму нескінченної геометричної прогресії -6; 1; -1/6 (дробом) ...

👇
Ответ:
alihanova1
alihanova1
12.06.2020

решение смотри на фотографии

Пошаговое объяснение:


( 15 б, ета 9 клас )Знайдіть суму нескінченної геометричної прогресії -6; 1; -1/6 (дробом) ...
4,6(94 оценок)
Открыть все ответы
Ответ:
елена1181
елена1181
12.06.2020
1.

х-первое  число
0,5х-второе число
0.5х-40 - третье число
х+0,5х+0,5х-40=1000
2х=1040
х=520
0,5х=260
0,5х-40=260-40=220
1 число: 520
2 число:260
3 число: 220

2. х -на первой полке
х-63 - на второй полке
0,5 х- на третьей полке
х+х-63+0,5х=237
2.5х=300
х=120  на первой полке
120-63=57 - на второй полке
120/2=60 - на третьей полке

3 .  х-цена одной упаковки сока
х+0.05 - цена булочки
2х+4*(х+0.05)=2,3
2х+4х+0,2=2,3
6х=2,1
х=0,35 - евро цена сока
0.35+0,05=0,4 евро стоит булочка

4.    х- цена тетради
х+3,4 - цена дневника
4х+2*(х+3.4)=11.6
4х+2х+6,8=11,6
6х=4.8
х=0,8  евро цена тетради
0,8+3,4=4,2  -цена дневника

 
4,5(5 оценок)
Ответ:
POZZITIFFON34
POZZITIFFON34
12.06.2020

ПИТАННЯ ТЕМИ

1. Основні принципи і завдання фінансового планування

2. Зміст і порядок складання фінансового плану підприємства

3. План прибутків і збитків

4. План (прогноз) руху грошових коштів

5. Балансовий план (проект)

ІНФОРМАЦІЙНІ МАТЕРІАЛИ ТЕМИ

1 Основні принципи і завдання фінансового планування

За ринкової економіки значно підвищується матеріальна відповідальність керівника підприємства за його фінансовий стан. Саме тому зросло значення перспективного, поточного та оперативного фінансового планування для забезпечення стійкого фінансового стану та підвищення рентабельності підприємств.

Фінансове планування є необхідним для фінансового забезпечення розширення кругообороту виробничих фондів, досягнення високої результативності виробничо-господарської діяльності, створення умов, які забезпечили б платоспроможність та фінансову стійкість підприємства. Ринок ставить високі вимоги до якості фінансового планування, оскільки нині за негативні наслідки своєї діяльності відповідальність нестиме само підприємство. За нездатності врахувати несприятливу ринкову кон'юнктуру підприємство стає банкрутом і підлягає ліквідації з відповідними негативними наслідками для засновників.

Під фінансовим плануванням розуміють визначення обсягу фінансових ресурсів, необхідних для виробничо-господарської діяльності підприємства, а також джерел їх надходження.

Основними принципами фінансового планування є:

– наукова обґрунтованість, яка передбачає проведення розрахунків фінансових показників на основі певних методик з урахуванням кращого досвіду; використання засобів обчислювальної техніки, економіко-математичних методів, які передбачають багатоваріантність розрахунків і вибір найоптимальнішого з них;

– єдність фінансових планів полягає в єдності фінансової політики, єдиному підході до розподілу фінансових ресурсів, єдиній методології розрахунку фінансових показників та ін.;

– безперервність, яка означає взаємозв'язок довгострокових (перспективних), поточних і оперативних фінансових планів;

– стабільність, тобто незмінність показників фінансових планів.

Основними завданнями фінансового планування є:

– забезпечення виробничої та інвестиційної діяльності необхідними фінансовими ресурсами;

– визначення напрямків ефективного вкладення капіталу, оцінка раціональності його використання;

– виявлення та мобілізація резервів збільшення прибутку за рахунок поліпшення використання матеріальних, трудових та грошових ресурсів.

Основною метою складання фінансового плану є взаємоузгодження доходів і витрат у плановому періоді. При перевищенні доходів над витратами сума перевищення направляється до резервного фонду.

У процесі фінансового планування визначаються майбутні фінансові потреби: коли і які саме кошти будуть потрібні підприємцю у плановому періоді.

Фінансовий план – це документ, що характеризу б досягнення фінансових цілей підприємства і який пов' язує його доходи і витрати. В процесі фінансового планування:

а) ідентифікуються фінансові цілі та орієнтири підприємства;

б) встановлюється міра відповідності цих цілей поточному фінансовому стану підприємства;

в) формулюється послідовність дій із досягнення поставлених цілей.

Призначення фінансового плану полягає у визначенні обсягу фінансових результатів, а також сукупної потреби підприємства у певних розмірах фінансових ресурсів, необхідних для фінансування передбачених обсягів розширення виробництва, виконання фінансово-кредитних зобов'язань, розв'язання соціальних завдань і матеріального стимулювання працівників підприємства.

Необхідність фінансового плану полягає в тому, щоб дати можливість керівництву підприємства дістати уявлення про те, який обсяг фінансових результатів підприємство планує отримати у плановому році, які фінансові ресурси, у яких обсягах і звідки надходять, на які цілі вони витрачаються, виявити резерви збільшення власних фінансових ресурсів, здійснювати режим економії та контроль за цільовим використанням коштів.

Фінансовий план слугує необхідною умовою для раціональної організації роботи на всіх ділянках фінансово-господарської діяльності підприємства.

Розрізняють два фінансових плани: довгостроковий і короткостроковий. Основне цільове призначення першого - визначення допустимих із позиції фінансової стійкості темпів розширення підприємства; метою другого є забезпечення постійної платоспроможності підприємства.

Етапи процесу фінансового планування:

а) аналіз фінансового становища підприємства;

б) складання прогнозних кошторисів і бюджетів;

в) визначення потреби підприємства у фінансових ресурсах;

г) прогнозування структури джерел фінансування;

д) створення і підтримка дієвої системи контролю і управління;

е) розробка процедури внесення змін до системи планів.

4,6(13 оценок)
Это интересно:
Новые ответы от MOGZ: Математика
logo
Вход Регистрация
Что ты хочешь узнать?
Спроси Mozg
Открыть лучший ответ