М
Молодежь
К
Компьютеры-и-электроника
Д
Дом-и-сад
С
Стиль-и-уход-за-собой
П
Праздники-и-традиции
Т
Транспорт
П
Путешествия
С
Семейная-жизнь
Ф
Философия-и-религия
Б
Без категории
М
Мир-работы
Х
Хобби-и-рукоделие
И
Искусство-и-развлечения
В
Взаимоотношения
З
Здоровье
К
Кулинария-и-гостеприимство
Ф
Финансы-и-бизнес
П
Питомцы-и-животные
О
Образование
О
Образование-и-коммуникации
badboydenis
badboydenis
29.02.2020 16:18 •  Математика

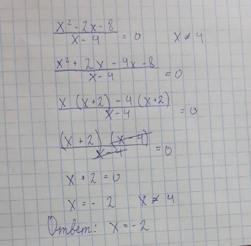
вот уравнение х^2-2х-8/х-4=0

👇
Ответ:
natasgavrilova
natasgavrilova
29.02.2020

в прикрепленном файле

Пошаговое объяснение:

тоже там


вот уравнение х^2-2х-8/х-4=0
4,4(53 оценок)
Открыть все ответы
Ответ:
kolodina10
kolodina10
29.02.2020

Відповідь:

8)Г 9)А 10) ответ 10, не вижу этого варианта

Покрокове пояснення: 8) 0+1+2+3+...+14=105 это минимальное количество учеников начиная с нуля

9) 1 (1-1) проигрывает, 2(2-2) проигрывает, у 3 (3-1), 4(2-2) проигрывает, 5(3-1), 6 (2-2) проигрывает, 3 (4-1), 5(3-2), 3(5-1) , 5 (2-2) проигрывает, у 3 (6 фишек)

10) допустим врунишок 10, каждый всегда врёт, они все играют футбол, но они соврали. Тогда в футбол играют 60, а не 50. Потом они не играли в остальные игры, но сказали, что играли то есть 30, 20,10. В сумме 60+10+20+30=120

50+х+40-х+30-х+20-x=120

140-2x=120

140-120=2x

2x=20

x=10

x это вруны, они всегда врали. Там где они играли, они говорили, что не играли. А там где не играли, говорили, что играли

4,7(58 оценок)
Ответ:
260807098978
260807098978
29.02.2020

1) На сколько 96 т. больше 96 ц.96т=960ц

960-96=864ц на столько

2) Какую часть часа составляют:

6 мин.=6/60=1/10=0,1 ч

10 мин.=10/60=1/6ч

15 мин.=15/60=1/4=0,25ч

20 мин.=20/60=1/3ч

30 мин.=30/60=1/2=0,5ч

3) Какую часть рубля составляют

1 к.=1/100=0,01р

20 к.=20/100=1/5=0,2 р

50 к.=50/100=1/2=0,5р

4) Сколько копеек в

50 р.=50*100=5 000к

100 р.=100*100=10 000к

5) Сколько метров в

20 км.=20*1000=20 000м

в 1000 км.=1000*1000=1 000 000 м  

6) Сколько центнеров в

40 т.=40*10=400ц

100 т.=100*10=1 000ц

Пошаговое объяснение:

4,6(57 оценок)
Это интересно:
Новые ответы от MOGZ: Математика
logo
Вход Регистрация
Что ты хочешь узнать?
Спроси Mozg
Открыть лучший ответ