М
Молодежь
К
Компьютеры-и-электроника
Д
Дом-и-сад
С
Стиль-и-уход-за-собой
П
Праздники-и-традиции
Т
Транспорт
П
Путешествия
С
Семейная-жизнь
Ф
Философия-и-религия
Б
Без категории
М
Мир-работы
Х
Хобби-и-рукоделие
И
Искусство-и-развлечения
В
Взаимоотношения
З
Здоровье
К
Кулинария-и-гостеприимство
Ф
Финансы-и-бизнес
П
Питомцы-и-животные
О
Образование
О
Образование-и-коммуникации
ipadsanya
ipadsanya
18.10.2022 10:02 •  Математика

1. Осевое сечение конуса – треугольник, площадь которого равна 32 корень из 3 см , а один из углов равен 120°. Найдите высоту конуса и площадь его основания.

👇
Ответ:
Hasky12
Hasky12
18.10.2022

Высота (H)=4 см                   Площадь основания (Sосн)=48π см²

Пошаговое объяснение:

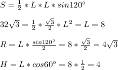
S=\frac{1}{2}*L*L*sin120а\\\\32\sqrt{3}=\frac{1}{2}*\frac{\sqrt{3}}{2}*L^{2} = L = 8\\\\R=L*\frac{sin120а }{2}=8*\frac{\sqrt{3}}{2}=4\sqrt{3}\\\\H=L*cos60а=8*\frac{1}{2}=4\\\\

Sосн=πR²=(4√3)²*π=16√9*π=16*3*π=48π(см²)

4,6(47 оценок)
Открыть все ответы
Ответ:

1) 5938*8=47504     8*5938=47504     47504:5938=8     47504:8=5938

2) 9583*7=67081     7*9583=67081     67081:9583=7     67083:7=9583

3) 7067*8=56536     8*7067=56536     56536:7067=8     56536:8=7067

4) 4109*7=28763     7*4109=28763     28763:4109=7     28763:7=4109

5) 5804*4=23216     4*5804=23216     23216:5804=4     23216:4=5804

6) 84605*6=507630     6*84605=507630     507630:84605=6     507630:6=84605

7)72948*3=218844     3*72948=218844     218844:72948=3     218844:3=72948

8) 26009*8=208072     8*26009=208072     208072:26009=8     208072:8=26009  

                              

4,4(53 оценок)
Ответ:
даsha3
даsha3
18.10.2022
У Пушкина - Петр Первый в поэмах "Полтава" и "Медный всадник", а также в романе "Арап Петра Великого" (там же прадед Александра Сергеевича А. П. Ганнибал) . В "Полтаве" также Мазепа и сподвижники Петра: "и Брюс, и Боур, и Репнин" и Меншиков.
"Борис Годунов" - царь Борис, Лжедимитрий.
В драматической трилогии А. К. Толстого "Смерть Иоанна Грозного", "Царь Федор Иоаннович", "Царь Борис" - соответствующие персонажи и их современники.
В романе А. Н. Толстого "Петр Первый" - царь Петр, А. Д. Меншиков и др.
4,5(54 оценок)
Это интересно:
Новые ответы от MOGZ: Математика
logo
Вход Регистрация
Что ты хочешь узнать?
Спроси Mozg
Открыть лучший ответ