М
Молодежь
К
Компьютеры-и-электроника
Д
Дом-и-сад
С
Стиль-и-уход-за-собой
П
Праздники-и-традиции
Т
Транспорт
П
Путешествия
С
Семейная-жизнь
Ф
Философия-и-религия
Б
Без категории
М
Мир-работы
Х
Хобби-и-рукоделие
И
Искусство-и-развлечения
В
Взаимоотношения
З
Здоровье
К
Кулинария-и-гостеприимство
Ф
Финансы-и-бизнес
П
Питомцы-и-животные
О
Образование
О
Образование-и-коммуникации
EdgyHuman
EdgyHuman
28.05.2023 22:10 •  Математика

Кто шарит в математике! ХЛП

👇
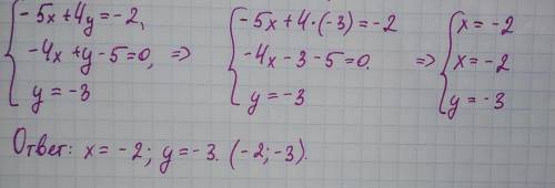
Ответ:
konulrzayevaa
konulrzayevaa
28.05.2023

______________________


Кто шарит в математике! ХЛП
4,6(72 оценок)
Открыть все ответы
Ответ:

1

Избавься от ограничений

ПОПРОБУЙ ЗНАНИЯ ПЛЮС СЕГОДНЯ

Madink

31.01.2013

Математика

5 - 9 классы

ответ дан • проверенный экспертом

Два оператора,работая совместно могут набрать текст рукописи на компьютере за 10 ч.Они совместно набрали текст 6ч,затем первый оператор набрал оставшуюся часть текста за 12 ч.За сколько часов набрал бы весь текст рукописи первый и второй оператор?

1

СМОТРЕТЬ ОТВЕТ

Войди чтобы добавить комментарий

ответ, проверенный экспертом

4.1/5

137

GodzillAMC

почетный грамотей

756 ответов

205.2 тыс. пользователей, получивших

10-6=4 часа осталось двоим;

12/4=3 часа делал первый оператор, то что они вдвоём сделают за 1 час;

3*10=30 часов надо первому оператору чтоб набрать текст;

30/10*6=18 часов потратит первый оператор если сам будет делать то что они делали вдвоём

 

 6/18=1/3 набирает первый оператор за час совместной рабты. 1-1/3=2/3 набирает второй оператор за час совместной работы.

6:2/3=9 часов понадобится второму оператору, если сам будет делать что они сделали вдвоём.

15 часов потратит надо второму оператору чтоб набрать весь текст.

ответ: 30 часов и 15 часов

4,8(14 оценок)
Ответ:
Zexory
Zexory
28.05.2023

1. Различных составления расписания столько, сколько существует пятиэлементных упорядоченных подмножеств

Число составления расписания равно числу перестановок из пяти.

P_5=5!=120P

5

2. Число выбрать четырёх человек для участия в математической олимпиаде равно числу сочетания из 32 по 4(порядок выбора учеников не важен) :

C^4_{32}= \dfrac{32!}{4!28!}= 35960C

32

4

=

4!28!

32!

=35960

3. На первое место можно выбрать любые из шести заданных цифр, то есть, можно выбрать на второе месте можно выбрать оставшиеся из пяти цифр

По правилу произведения, составить различных двузначных чисел можно

4. Всего шариков изначально было 45+17= 62 и два шарика потеряли(белых), тогда останется всего 60 шариков из них 15 белых.

Вероятность того, что выбранный наугад шарик будет белым равна

P=15/60 = 0.25

5. Всего все возможных подбрасывания трёх монет равно 2³ = 8 из них перечислим благоприятные.

\{P;\Gamma;\Gamma\},~\{\Gamma;P;\Gamma\},~\{\Gamma;\Gamma;P\}{P;Γ;Γ}, {Γ;P;Γ}, {Γ;Γ;P} - три варианта.

Искомая вероятность: P = 3/8 = 0.375

6. Всего все возможных выбора билетов - 1000000 среди них 1200+800 = 2000 выигрышных.

Искомая вероятность: P=2000/1000000=0.002

7. Всего двузначных чисел 99-9=90 из них есть те числа которые при делении на 13 даёт в остатке 5:

18; 31; 44; 57; 70; 83; 96 - всего 7

Искомая вероятность: P = 7/90.


В классе 22 ученика. Сколькими можно сформировать команду из 3 человек для участия в математической
4,8(72 оценок)
Это интересно:
Новые ответы от MOGZ: Математика
logo
Вход Регистрация
Что ты хочешь узнать?
Спроси Mozg
Открыть лучший ответ