М
Молодежь
К
Компьютеры-и-электроника
Д
Дом-и-сад
С
Стиль-и-уход-за-собой
П
Праздники-и-традиции
Т
Транспорт
П
Путешествия
С
Семейная-жизнь
Ф
Философия-и-религия
Б
Без категории
М
Мир-работы
Х
Хобби-и-рукоделие
И
Искусство-и-развлечения
В
Взаимоотношения
З
Здоровье
К
Кулинария-и-гостеприимство
Ф
Финансы-и-бизнес
П
Питомцы-и-животные
О
Образование
О
Образование-и-коммуникации
scream75821
scream75821
24.02.2021 17:11 •  Математика

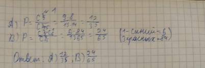
: В урне находится 15 шаров, из них 9 красных и 6 синих. Какова вероятность того, что вынутые наугад два шара: а) оба красные; б) 3 красных, 1 синий?

👇
Ответ:
мага399
мага399
24.02.2021

смотри фото.

Пошаговое объяснение:


: В урне находится 15 шаров, из них 9 красных и 6 синих. Какова вероятность того, что вынутые наугад
4,5(25 оценок)
Открыть все ответы
Ответ:
antipingv2004
antipingv2004
24.02.2021
Рамы — это культовые постройки, которые воплощают образ мироустройства в той или иной религии (христианство, буддизм, ислам) , ее основные ценности.

Архитектура, скульптура, живопись, таинство литургического действа в православном храме соотносятся с хоровым пением без сопровождения (акапелла) . В католическом — не только с пением, но и со звучанием органа.

Мусульманский храм (мечеть) своим великим куполом символизирует единого Бога (Аллаха) и минаретом (башня около мечети) — его пророка (Магомета) . Мусульманская мечеть включает в себя два соразмерных пространства — открытый двор и затененный молитвенный зал.
Древний буддийский храм, сооруженный из мощных обтесанных камней и плит, был основой для пышного и тяжелого орнаментального скульптурного декора, охватывающего почти всю его поверхность. Своеобразным следствием этого является отсутствие арки и свода. В буддийских храмах на кровлях висят многочисленные колокольчики.
4,6(73 оценок)
Ответ:
инкар03
инкар03
24.02.2021
Камедыя "Хто смяецца апошнім" была напісана ў 1939 годзе, калі чалавека маглі схапіць без усялякага дазнання, проста па даносу. Таму не дзіўна, што большасць людзей знаходзілася ў нейкім запалоханым стане, пад страхам апынуцца ў ГУЛАГу. Якраз да такіх людзей і належыць навуковы супрацоўнік Туляга.

Туляга - адна з асноўных дзеючых асоб п'есы. Увесь знешні выгляд Тулягі цалкам адпавядае яго прозвішчу. Ён нейкі нязграбны, няспрытны, нібы сапраўды туляецца з аднаго месца на другое. Аднойчы, калі Туляга ішоў у інстытут, нейкі чалавек заўважыў яго падобнасць да дзянікінскага палкоўніка. А паколькі Туляга і сапраўды некалі жыў у тым горадзе, назва якога прагучала ў вуснах незнаёмца, то бедалагу гэта насцярожыла і вельмі напужала. Ён расказаў пра гэты выпадак у інстытуце. Пачуўшы пра гэта, Зёлкін - яшчэ адзін супрацоўнік гэтай навуковай установы і ўсім вядомы выдумшчык і пляткар - перайначыў яго расказ так, што выходзіла, быццам Туляга на самой справе дзянікінскі афіцэр і вельмі баіцца цяпер гэтага.

У той час дырэктар інстытута Гарлахвацкі пад пагрозай выдачы "дзянікінца" НКУС прымушае Тулягу напісаць за яго навуковую працу і паставіць пад ёй прозвішча Гарлахвацкага. Такі адкрыты шантаж узнімае хвалю незадаволенасці ў Тулягі, сумленнага навукоўца. Ён і раней адчуваў сваё становішча вучонага-парабка, але не хапала смеласці, каб пазбавіцца ад гэтага.

Апошняй кропляй стала здарэнне з Зіначкай Зёлкінай, калі Гарлахвацкі, баючыся жончынага гневу, выкліканага яго "шашнямі" з Зіначкай, павярнуў усё так, што атрымалася, быццам з Зінай у кабінеце быў не ён, а Туляга. Вынесці такога сораму Туляга не мог, таму тут жа пачаў распрацоўваць план, як адпомсціць ненавіснаму невуку і кар'ерысту. Ён раіцца, дзеліцца сваімі думкамі з супрацоўнікамі інстытута, шукае іх падтрымкі і дапамогі. Гэта дапамагае яму з цягам часу пераадолець страх. Заставалася толькі пераступіць апошнюю прыступку - выкрыць лжэвучонага, які да таго ж яшчэ і дырэктар навуковай установы.

У гэтай цяжкай справе Тулягу дапамаглі Чарнавус, Вера і Левановіч. Яны спакойна яго выслухалі, паспачувалі і паабяцалі падтрымку. Да моманту зачытвання "навуковай працы" Туляга ўжо вызваліўся ад страху і быў рашуча настроены паведаміць усім супрацоўнікам праўду.

Пасля таго, як Гарлахвацкі зачытаў напісаную Тулягам працу, усім стала зразумела, што ўяўляе сабою гэты чалавек як вучоны. У дакладзе сустракаліся такія дэталі, што ўзнікала пытанне, хто на самой справе больш "карысны выкапень" - Гарлахвацкі ці тая жывёліна, пра якую гаварылася ў дакладзе.

Заканчваецца камедыя трыўмфам Тулягі. А Гарлахвацкага забіраюць у НКУС па справе здрадніцтва.

У кантрасце паміж пачаткам і канцом твора і хаваецца сэнс яго назвы. Спачатку смяяўся Гарлахвацкі, паціраючы рукі ад радасці, што, дзякуючы страху Тулягі, зможа ў хуткім часе абараніць дысертацыю і закрыць рот тым, хто падазрае яго ў лжэвучонасці і не давярае яму. У канцы смяецца Туляга, задаволены тым, што хапіла-такі смеласці і рашучасці перамагчы страх і выкрыць ярага кар'ерыста і невука.

Сэнс назвы твора "Хто смяецца апошнім" у тым, што нельга лічыць куранят па вясне, таму што яшчэ не раз выйдзе на паляванне ліса. І, як сцвярджае народная мудрасць, той смяецца добра, хто смяецца апошнім.
4,6(1 оценок)
Новые ответы от MOGZ: Математика
logo
Вход Регистрация
Что ты хочешь узнать?
Спроси Mozg
Открыть лучший ответ