М
Молодежь
К
Компьютеры-и-электроника
Д
Дом-и-сад
С
Стиль-и-уход-за-собой
П
Праздники-и-традиции
Т
Транспорт
П
Путешествия
С
Семейная-жизнь
Ф
Философия-и-религия
Б
Без категории
М
Мир-работы
Х
Хобби-и-рукоделие
И
Искусство-и-развлечения
В
Взаимоотношения
З
Здоровье
К
Кулинария-и-гостеприимство
Ф
Финансы-и-бизнес
П
Питомцы-и-животные
О
Образование
О
Образование-и-коммуникации
abbasovamadina2
abbasovamadina2
11.12.2021 18:27 •  Математика

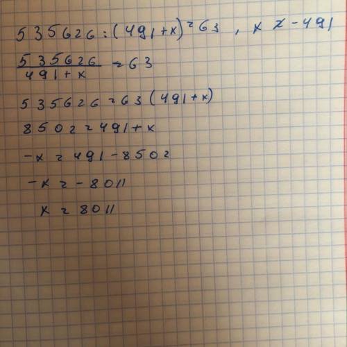
решить пример 535626÷(491+x)=63

👇
Ответ:
MaXD1337
MaXD1337
11.12.2021

Пошаговое объяснение:

535626÷(491+x)=63

491+х=535626÷63

491+х=8502

х=8502-491

х=8011

4,4(39 оценок)
Ответ:
sva25717
sva25717
11.12.2021
Ну как-то вот так)))))
решить пример 535626÷(491+x)=63
4,8(24 оценок)
Открыть все ответы
Ответ:
viahseslav
viahseslav
11.12.2021
1. Линия, пятно, точка, штрих.
2. это как вариант выразительности. 
3. отличие графики от живописи заключается не
столько в том, как это обычно говорят, что графика — это "искусство
черно-белого"
4. Чаще всего используются простые карандаши, тушь, мелки, пастель, уголь, чернила, акварель, белила.
5. портретный, пейзажный и анималистический.
6. Только первые отпечатки с подписью художника могут считаться подлинниками.
7. Гравюра - это размноженный, напечатанный оттиском рисунок автора. 
8. Рисунок гравируется на "доске" специальными резцами — штихелями (резцовая гравюра), иглой либо травится кислотой.
4,8(33 оценок)
Ответ:
TToMoLLIHuK1
TToMoLLIHuK1
11.12.2021
1. Линия, пятно, точка, штрих.
2. это как вариант выразительности.
3. отличие графики от живописи заключается не
столько в том, как это обычно говорят, что графика — это "искусство
черно-белого"
4. Чаще всего используются простые карандаши, тушь, мелки, пастель, уголь, чернила, акварель, белила.
5. портретный, пейзажный и анималистический.
6. Только первые отпечатки с подписью художника могут считаться подлинниками.
7. Гравюра - это размноженный, напечатанный оттиском рисунок автора.
8. Рисунок гравируется на "доске" специальными резцами — штихелями (резцовая гравюра), иглой либо травится кислотой.
Как то так.
4,7(79 оценок)
logo
Вход Регистрация
Что ты хочешь узнать?
Спроси Mozg
Открыть лучший ответ