М
Молодежь
К
Компьютеры-и-электроника
Д
Дом-и-сад
С
Стиль-и-уход-за-собой
П
Праздники-и-традиции
Т
Транспорт
П
Путешествия
С
Семейная-жизнь
Ф
Философия-и-религия
Б
Без категории
М
Мир-работы
Х
Хобби-и-рукоделие
И
Искусство-и-развлечения
В
Взаимоотношения
З
Здоровье
К
Кулинария-и-гостеприимство
Ф
Финансы-и-бизнес
П
Питомцы-и-животные
О
Образование
О
Образование-и-коммуникации
AkaneSan
AkaneSan
29.12.2021 03:43 •  Математика

Сумма двух чисел равна 18. Найдите эти числа есди одно из них на 8 больше другого

👇
Ответ:
alusykapogo
alusykapogo
29.12.2021

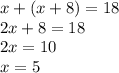
Первое число 5; Второе число 13

Пошаговое объяснение:

\left \{ {{x+y=18} \atop {y=x+8}} \right.

x+(x+8)=18\\2x+8=18\\2x=10\\x=5

y=5+8=13

4,5(15 оценок)
Открыть все ответы
Ответ:
shubiiin
shubiiin
29.12.2021

Насколько я помню у Вас оба треугольника неправильно построены. первая цифра (2;1) 2 -указывает по оси ОХ вправо 2 клетки в вашем масштабе и по оси ОY вверх 1 клетка. если минус - значит по оси ОХ влево, по оси ОY вниз. постройте правильно. и ответ будет такой - ось ОХ пересекает в точках (1;0),(-5;0).по оси ОY пересекает в точках (0;-1), (0;2), 

по вашему рисунку левый треугольник пересекает ось Х (-2;0), (-4;0) - чтобы было понятно о чем я написала. но, повторяю, у вас неправильно построены треугольники

4,4(46 оценок)
Ответ:
zero161
zero161
29.12.2021

Пошаговое объяснение:

яются по

падежам. (3)Есть местоимения, которые, кроме того, изменяются по родам и

числам. (4)В предложении местоимения обычно бывают подлежащими,

дополнениями и определениями.

А) стиль речи научный;

Б) тип речи – повествование;

В) средство связи предложений - повтор слова;

Г) в тексте есть определение научного понятия (1-е предложение).

В.1. Из третьего предложения выписать слово, в котором все согласные звуки

звонкие.

В.2. Из 4 предложения выписать наречие.

В.3. Укажите образования

4,7(66 оценок)
Это интересно:
Новые ответы от MOGZ: Математика
logo
Вход Регистрация
Что ты хочешь узнать?
Спроси Mozg
Открыть лучший ответ