М
Молодежь
К
Компьютеры-и-электроника
Д
Дом-и-сад
С
Стиль-и-уход-за-собой
П
Праздники-и-традиции
Т
Транспорт
П
Путешествия
С
Семейная-жизнь
Ф
Философия-и-религия
Б
Без категории
М
Мир-работы
Х
Хобби-и-рукоделие
И
Искусство-и-развлечения
В
Взаимоотношения
З
Здоровье
К
Кулинария-и-гостеприимство
Ф
Финансы-и-бизнес
П
Питомцы-и-животные
О
Образование
О
Образование-и-коммуникации
Victoria195
Victoria195
22.10.2021 00:46 •  Математика

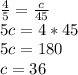
Определи значение переменной: 4/5 = c/45.

👇
Ответ:
rlynx675
rlynx675
22.10.2021

\frac{4}{5}= \frac{c}{45}\\ 5c=4*45\\5c=180\\c=36

Пошаговое объяснение:

4,4(11 оценок)
Открыть все ответы
Ответ:
seva0311
seva0311
22.10.2021

Цикорий-это многолетняя трава из семейства Астровых.Корень цикория содержит много полезных веществ и из него говорят напиток,который не уступает кофе по вкусовым качествам.

Цикорий выводу токсинов из организма при диабете,нормализует обмен веществ,очищает и улучшает состав крови.Циклрий повышает общий тонус организма,не содержит кофеина и обладает противовоспалительным и антибактериальным свойствами .

Приготовить напиток из цикория не трудно,главное знать-как и что делать:

-Корни цикория моют и сушат.

-Обжариваем на сковороде или в духовке,до испарения всей влаги.

-Измельчаем сухие корешки в блендере.

-Варим на огне,залив 1 стакан воды на чайную ложку размельчённого цикория.

-Варим 5 минут и даём отстояться.

-Употреблять можно с лимоном,молоком,добавляя сахар или мёд.

4,8(6 оценок)
Ответ:
Длинна ломанной АВСД равна сумме длин АВ +ВС+СД. Периметр треугольника ВСД равен сумме длин его сторон ВС+СД+ВД. Если их результаты равны, то и стороны АВ И ВД- равны (две другие стороны- одинаковые). Сумма этих одинаковых сторон равна 64см, значит, каждая из них равна 32 см. АВ=ВД=32 см. Если сумма ВД и СД равна 58, можем найти СД, так как ВД уже нашли ВД= 58-32=26 см. Для нахождения периметра треугольника ВСД осталось найти третью сторону ВС. Она равна АВ+ d , те ВС=32+d. Итак, периметр ВСД равен сумме его длин найденных (32+d)+26+32= 90+d. ОТВЕТ 90+d,  Для второго вопроса подставляем значение d=12, то есть периметр треугольника ВСД равен 90+12=102 см. ОТВЕТ 102см
4,8(83 оценок)
Это интересно:
Новые ответы от MOGZ: Математика
logo
Вход Регистрация
Что ты хочешь узнать?
Спроси Mozg
Открыть лучший ответ