М
Молодежь
К
Компьютеры-и-электроника
Д
Дом-и-сад
С
Стиль-и-уход-за-собой
П
Праздники-и-традиции
Т
Транспорт
П
Путешествия
С
Семейная-жизнь
Ф
Философия-и-религия
Б
Без категории
М
Мир-работы
Х
Хобби-и-рукоделие
И
Искусство-и-развлечения
В
Взаимоотношения
З
Здоровье
К
Кулинария-и-гостеприимство
Ф
Финансы-и-бизнес
П
Питомцы-и-животные
О
Образование
О
Образование-и-коммуникации
AlenaBukalova
AlenaBukalova
27.01.2020 00:49 •  Математика

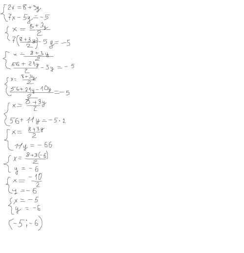
Решить систему уравнений подстановки ​

👇
Ответ:
Daniya333
Daniya333
27.01.2020

Пошаговое объяснение:


Решить систему уравнений подстановки ​
4,4(71 оценок)
Открыть все ответы
Ответ:
Didei
Didei
27.01.2020

Пошаговое объяснение:

1. В шеренге стояло 25 ребят и первым стоял мальчик, а потом девочка. Если убрать из шеренги первого мальчика, то останется 24 человека. 24:2=12 , т.е. поровну  мальчиков и девочек. Значит в шеренге стояло

12+1=13 мальчиков и 12 девочек

ответ: 13 мальчиков

2. У Карлсона в шкафу больше всего клубничного варенья - 25 банок.

Для того чтобы съедать каждый день по 2 банки разного варенья, то малинового, земляничного и вишневого варенья у него тоже должно быть 23 банок.

Сложим количество остального варенья

5+8+10=23 банки

Если Карлсон будет съедать по две банки разного варенья, то в конце у него останется 25-23=2 банки клубничного варенья

ответ: Нет не может

3. Среди любых двух ручек взятых из пенала одна синяя. Значит двух красных ручек быть не может. Но, по условию, одна красная ручка в пенале есть. Значит в пенале 1 красная ручка и 9 синих.

ответ : 1 красная ручка

4.

1 взвешивание :

на одну из чашек поставим гирю ( 1 кг) и разложим гвозди в чаши так, чтобы весы были в равновесии. Поскольку у нас 23 кг гвоздей. То на одной чаше будет 12 кг гвоздей, а на второй 11 кг гвоздей и гиря весом 1 кг . 12 кг гвоздей откладываем.

2 взвешивание:

На одну чашу ставим гирю 1 кг и снова раскладываем , уже 11 кг гвоздей по чашам так, чтобы весы были в равновесии. Получим, что на одной чаше 6 кг гвоздей, а на второй 5 кг гвоздей и гиря 1 кг.

Получаем необходимое количество- 5 кг гвоздей

4,7(6 оценок)
Ответ:
anel3103
anel3103
27.01.2020

1) 3,6*0,6 = 2,16 (л) - поступило из первой трубы.

2) 3,32-2,16 = 1,16 (л) - поступило из второй.

3) 1,16/0,4 =2,9 (л/сек) - подается за секунду по второй трубе.

4) 2,9*3600 = 10400 (л/час) - подается за час по второй трубе.

ответ: 10400 л/час питательного раствора подается по второй трубе.

 Если условие задачи правильное, и вторая труба была открыта 0,4секунды. 

 

Если же вторая труба была открыта 0,4 часа:  

1) 3,6*0,6 = 2,16 (л) - поступило из первой трубы.

2) 3,32-2,16 = 1,16 (л) - поступило из второй.

3) 1,16/0,4 =2,9 (л/час) - подается за час по второй трубе.

ответ: 2,9 л/час питательного раствора подается по второй трубе. 

4,8(33 оценок)
Это интересно:
Новые ответы от MOGZ: Математика
logo
Вход Регистрация
Что ты хочешь узнать?
Спроси Mozg
Открыть лучший ответ