

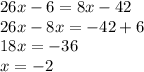
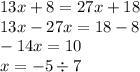
Обьяснено все на картинке
Записываем из условия: В двух классах 6 "А" и 6 "Б" вместе 82 ученика.
A+B=82.
A=X1+Y (где X1 количество мальчиков ,а Y количество девочек),соответственно
B=X2+Z снова X2 т.к. Известно,что мальчиков в этих классах поровну
(x1+y)+(x2+z)=82
x1=x2
x1=3(x+y)/5 (т.к. в А классе мальчиков 3/5 от всего класса)
5X1=3x1+3y
y=2x1/3
x2=(x2+z)*4/7
7x2=4x2+z4
z=3x2/4
Дальше подставляем в (x1+y)+(x2+z)=82 полученные значения y и z.
получаем что x =24
т.е.мальчиков в каждом классе 24.
48+x+y=82
x+y=34
дальше в классе A девочек: y=(24+y)*2/5
y=16 девочек
значит в а классе A - 24+16 детей
а в классе Б 42 человека
Теперь откуда узнала пропорцию про девочек:
Мальчики в 6"А" классе составляют 3/5 учащихся всего класса
значит девочек 2/5.ТАк же со вторым классом.