М
Молодежь
К
Компьютеры-и-электроника
Д
Дом-и-сад
С
Стиль-и-уход-за-собой
П
Праздники-и-традиции
Т
Транспорт
П
Путешествия
С
Семейная-жизнь
Ф
Философия-и-религия
Б
Без категории
М
Мир-работы
Х
Хобби-и-рукоделие
И
Искусство-и-развлечения
В
Взаимоотношения
З
Здоровье
К
Кулинария-и-гостеприимство
Ф
Финансы-и-бизнес
П
Питомцы-и-животные
О
Образование
О
Образование-и-коммуникации
tyankitty
tyankitty
11.12.2020 04:46 •  Математика

При переводе обыкновенной дроби 2/5 в десятичную получаеться: А:0,4 , Б: 4 , В:0,04 , Г: 0,2

👇
Ответ:
Миша7991
Миша7991
11.12.2020

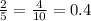
\frac{2}{5} = \frac{4}{10} = 0.4

Верный ответ А

4,7(58 оценок)
Открыть все ответы
Ответ:
vodovozoffsem
vodovozoffsem
11.12.2020
1) обе прямые в одной плоскости: они параллельны или пересекаются (могут быть перпендикулярными).
2) прямые в разных плоскостях:
пересекаются, если проходят через одну и ту же точку на линии пересечения двух плоскостей (могут быть перпендикулярными, если каждая из них перпендикулярна линии пересечения);
скрещиваются, если пересекают линию пересечения плоскостей в разных точках или одна из прямых параллельна линии пересечения;
параллельны, если каждая прямая параллельна линии пересечения плоскостей.
4,7(96 оценок)
Ответ:
Wild044Rose
Wild044Rose
11.12.2020
1) обе прямые в одной плоскости: они параллельны или пересекаются (могут быть перпендикулярными).
2) прямые в разных плоскостях:
пересекаются, если проходят через одну и ту же точку на линии пересечения двух плоскостей (могут быть перпендикулярными, если каждая из них перпендикулярна линии пересечения);
скрещиваются, если пересекают линию пересечения плоскостей в разных точках или одна из прямых параллельна линии пересечения;
параллельны, если каждая прямая параллельна линии пересечения плоскостей.
4,5(1 оценок)
Новые ответы от MOGZ: Математика
logo
Вход Регистрация
Что ты хочешь узнать?
Спроси Mozg
Открыть лучший ответ