М
Молодежь
К
Компьютеры-и-электроника
Д
Дом-и-сад
С
Стиль-и-уход-за-собой
П
Праздники-и-традиции
Т
Транспорт
П
Путешествия
С
Семейная-жизнь
Ф
Философия-и-религия
Б
Без категории
М
Мир-работы
Х
Хобби-и-рукоделие
И
Искусство-и-развлечения
В
Взаимоотношения
З
Здоровье
К
Кулинария-и-гостеприимство
Ф
Финансы-и-бизнес
П
Питомцы-и-животные
О
Образование
О
Образование-и-коммуникации
Школяяяра
Школяяяра
11.12.2021 19:01 •  Математика

может кто-нибудь решить.
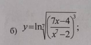
Найти производную заданной функции.


может кто-нибудь решить. Найти производную заданной функции.

👇
Ответ:
koshka26
koshka26
11.12.2021

y=x-4=3+(y-)

Пошаговое объяснение:

4,6(18 оценок)
Открыть все ответы
Ответ:
tdv84
tdv84
11.12.2021

1)Как человеку не спать 8 дней? (спать по ночам)

2)По какому животному ходят люди и проезжают машины?(зебра)

3)Какой слон без носа? (шахматный)

4)По какому пути ещё никто никогда не ходил и не ездил?(млечный)

5)Какой пробкой нельзя заткнуть ни одну бутылку?(дорожной)

6)Какой знак нужно поставить между 6 и 7, чтобы результат оказался меньше 7 и больше 6?(запятую)

7)Завязать можно, а развязать нельзя.(разговор)

8)Перед каким простым смертным даже президент снимает шапку?(парикмахер)

9)Они бывают металлические и жидкие. О чем речь?(гвозди)

10)Отгадай загадку: у кого за носом пятка?(обувь)

4,6(16 оценок)
Ответ:
михалыч676
михалыч676
11.12.2021

1)Как человеку не спать 8 дней? (спать по ночам)

2)По какому животному ходят люди и проезжают машины?(зебра)

3)Какой слон без носа? (шахматный)

4)По какому пути ещё никто никогда не ходил и не ездил?(млечный)

5)Какой пробкой нельзя заткнуть ни одну бутылку?(дорожной)

6)Какой знак нужно поставить между 6 и 7, чтобы результат оказался меньше 7 и больше 6?(запятую)

7)Завязать можно, а развязать нельзя.(разговор)

8)Перед каким простым смертным даже президент снимает шапку?(парикмахер)

9)Они бывают металлические и жидкие. О чем речь?(гвозди)

10)Отгадай загадку: у кого за носом пятка?(обувь)

4,8(55 оценок)
Это интересно:
Новые ответы от MOGZ: Математика
logo
Вход Регистрация
Что ты хочешь узнать?
Спроси Mozg
Открыть лучший ответ