М
Молодежь
К
Компьютеры-и-электроника
Д
Дом-и-сад
С
Стиль-и-уход-за-собой
П
Праздники-и-традиции
Т
Транспорт
П
Путешествия
С
Семейная-жизнь
Ф
Философия-и-религия
Б
Без категории
М
Мир-работы
Х
Хобби-и-рукоделие
И
Искусство-и-развлечения
В
Взаимоотношения
З
Здоровье
К
Кулинария-и-гостеприимство
Ф
Финансы-и-бизнес
П
Питомцы-и-животные
О
Образование
О
Образование-и-коммуникации
redkiller22
redkiller22
11.07.2020 16:25 •  Математика

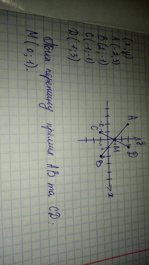
Позначте на координатній площині точки А(-2;3) В(2;-1) С(-1;-1) Д(1;3).Проведіть відрізки АВ, СД, знайдіть координати точки, перетину цих відрізків. ​

👇
Ответ:

Все на фото, якщо щось зрозуміло, пишіть в коментарях.


Позначте на координатній площині точки А(-2;3) В(2;-1) С(-1;-1) Д(1;3).Проведіть відрізки АВ, СД, зн
4,5(70 оценок)
Открыть все ответы
Ответ:
svetashandina
svetashandina
11.07.2020

Среднее арифметическое 6.125

размах 6

медиана 6

мода 6

Пошаговое объяснение:

1)среднее арифметическое находим путём сложения всех чисел в ряду и деления этой суммы на количество этих чисел.

То есть 98÷16 = 6.125

2) размахом называется разность между наибольшим и наименьшим из чисел в ряду

9-3 = 6

3) для медианы нам придётся выстроить числа в ряд в порядке возрастания и найти число записанное по середине. Так как у нас чётное кол-во чисел, мы берём за ответ два числа

3444566667778889

4) мода - число в ряду, которое встречается чаще остальных

Это 6

4,6(41 оценок)
Ответ:
MariaWans07
MariaWans07
11.07.2020

(3;-3)

Пошаговое объяснение:

1) (3;-3): 6,5*3 + 8,1*(-3) - 4,89 = 0;

            -14*3-23(-3)-27=0.

            19,5 - 24,3 - 4,89 = 0;

            -42 + 69 - 27 = 0.

           -9,69 = 0 - не подходит;

             0 = 0 - подходит. => (3;-3) удовлетворяет

2) (-3;-3): 6,5(-3)+8.1(-3)-4,89=0;

              -14(-3)-23(-3)-27=0.

              -19,5 - 24,3 - 4,89 = 0;

              42 + 69 - 27 = 0.

               -48,9 = 0 - не подходит

                84 = 0 - не подходит => (-3;-3) не удовлетворяет

3) (-3;3):   6,5(-3)+8.1*3-4,89=0;

              -14(-3)-23*3-27=0.

               -19,5 + 24,3 - 4,89 = 0

               42 - 69 - 27 = 0

               -0,09 = 0 - не подходит

                -54 = 0 - не подходит => (-3;3) не удовлетворяет

4) (3;3):  6,5*3+8.1*3-4,89=0;

             -14*3-23*3-27=0.

             38,91 = 0 - не подходит

             - 138 = 0 - не подходит => (3;3) не удовлетворяет

4,6(62 оценок)
Новые ответы от MOGZ: Математика
logo
Вход Регистрация
Что ты хочешь узнать?
Спроси Mozg
Открыть лучший ответ