М
Молодежь
К
Компьютеры-и-электроника
Д
Дом-и-сад
С
Стиль-и-уход-за-собой
П
Праздники-и-традиции
Т
Транспорт
П
Путешествия
С
Семейная-жизнь
Ф
Философия-и-религия
Б
Без категории
М
Мир-работы
Х
Хобби-и-рукоделие
И
Искусство-и-развлечения
В
Взаимоотношения
З
Здоровье
К
Кулинария-и-гостеприимство
Ф
Финансы-и-бизнес
П
Питомцы-и-животные
О
Образование
О
Образование-и-коммуникации
Illia1Z
Illia1Z
25.03.2022 09:44 •  Математика

Знайдіть середнє арифметичне чисел

👇
Ответ:
Music05
Music05
25.03.2022

Всего 4 числа. Среднее арифметическое это отношение суммы всех чисел к их количеству.

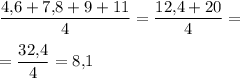
\dfrac{4,\!6+7,\!8+9+11}4 =\dfrac{12,\!4+20}4 =\\\\=\dfrac{32,\!4}4 =8,\!1

ответ: 8,1.

4,7(42 оценок)
Открыть все ответы
Ответ:
Snihdsfg
Snihdsfg
25.03.2022

наверное, касательные проведены из точки В.
рассмотрим тр-ки АВО и СВО, где точки А и С точки касания. АО и СО радиусы.
эти тр-ки равны, тк гипотенуза у них общая, и по равному катету=радиусу. или по 2 катетам - радиусу и отрезкам касательных, проведеных из одной точки. Тогда отрезок ОВ служит биссектрисой угла АОС, а он по условию прямой, значит, наши треугольники ОАВ и ОСВ прямоугольные равнобедренные. гипотенуза в таком тр-ке = а корней из 2. чтобы найти АВ=ВС нужно 16 разделить на корень из 2-х. , получается 8 корней из 2


4,4(67 оценок)
Ответ:
kirya451
kirya451
25.03.2022
Y=x²-2x+3, это парабола с ветвями направленными вверх и точек пересечения с осью ОХ не имеет (D=-8<0)
Любой график строят по точкам: задаешь Х и расчитываешь У. Так получается таблица, о которой ты спрашиваешь.
Но для построния этого графика достаточно знать несколько точек. Первая точка - пересечение с осью ОУ (0;3)
Вторая точка - вершина параболы, которая имеет следующие координаты: в общем виде парабола имеет вид: y=ax²+bx+c. Коэффициент a, стоящий при x², равен 1. Коэффициент b, стоящий при x, равен -2.
Координата Х вершины параболы находится по формуле x =− b/2a=2/(2*1)=1
Чтобы найти координату У, подставим в исходную функцию найденное значение X:
y=x²-2x+3=>y(1)=1²-2(1)+3=2. Следовательно, вершина параболы имеет координаты (1;2)
Легко получить и третью точку (симетричную точке (0;3)): при х=2 получишь у=3, т. е. ее коор-ты (2;3)
Полученные координаты точек позволяют построить график заданной функции, который имеет вид:

Построить график функции y=(x-2)*(x+3)
4,4(77 оценок)
Это интересно:
Новые ответы от MOGZ: Математика
logo
Вход Регистрация
Что ты хочешь узнать?
Спроси Mozg
Открыть лучший ответ