М
Молодежь
К
Компьютеры-и-электроника
Д
Дом-и-сад
С
Стиль-и-уход-за-собой
П
Праздники-и-традиции
Т
Транспорт
П
Путешествия
С
Семейная-жизнь
Ф
Философия-и-религия
Б
Без категории
М
Мир-работы
Х
Хобби-и-рукоделие
И
Искусство-и-развлечения
В
Взаимоотношения
З
Здоровье
К
Кулинария-и-гостеприимство
Ф
Финансы-и-бизнес
П
Питомцы-и-животные
О
Образование
О
Образование-и-коммуникации
SKYRIM6
SKYRIM6
26.04.2023 17:55 •  Математика

Довжина кола 50,24см. знайди площу круга, обмеженого цим колом.

👇
Ответ:
sergey19751975
sergey19751975
26.04.2023

200,96см²

Пошаговое объяснение:

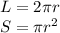
длина окружности L площадь круга S равны

L = 2\pi r\\S = \pi r^{2}

отсюда получим

S = \frac{L^{2} }{4\pi }

S = \frac{(50.24)^{2} }{4\pi }

S = \frac{631.0144}{\pi y} = [\pi = 3.14] = 200.96 (cm^{2} )

4,4(10 оценок)
Открыть все ответы
Ответ:
lordikEgorka
lordikEgorka
26.04.2023
Дано:
S = 240 км
t₁ = 3 ч
t₂ = 5 ч

Найти: S₁-?; S₂-?

Скорость пассажирского поезда:
                           v₁ = S/t₁ = 240:3 = 80 (км/ч)
Скорость товарного поезда:
                           v₂ = S/t₂ = 240:5 = 48 (км/ч)
Скорость сближения поездов:
                           v = v₁ + v₂ = 80+48 = 128 (км/ч)
Время до встречи:
                           t = S/v = 240:128 = 1,875 (ч)
Расстояние, которое до встречи пассажирский поезд:
                          S₁ = v₁t = 80*1,875 = 150 (км)
Расстояние, которое до встречи товарный поезд:
                          S₂ = v₂t = 48*1,875 = 90 (км)

ответ: 150 км; 90 км.   
4,6(46 оценок)
Ответ:

Майбұлақ тұрағының индустриясы техникалық мінездемесінің төмендегідей ерекшеліктері бар . Өзек тасты алғашқы жаңқалауда леваллуа техникасының ерекше орын алғаны байқалады . Мұнда дайындамалар , пішін , сонымен қатар тыңғылықты өңделген ядрища мен соғу алаңы дайындауда ұқсас стратегиясымен анықталған жаңқаларға бірнеше аршылған леваллуалдық өзектастар бар . Екі өзектаста протопризмалық өңдеуге өту белгілері бар ерекшеліктер байқалады . Тұрақтағы индустрия ішінде ерекше орынды призмалық техника алады ( 7 дана нуклеус , з дана пренуклеус ) . Бұл топтың нуклеустар көптеген топтарға бөлінеді . Үлкен пластиналарға арналған макронуклеустар , орта өлшемдегі пластиналарға арналған аса үлкен емес призмалық нуклеустар , микропластиналарға арналған призмалық өзектастар . Артефактілердің басым бөлігі жаңқалар , техникалық қалдықтар , сынықтар , сындырындылардан тұрады . Құралдардың ішінде ертепалеолит түріндегі бұйымдар аз мөлшерде кездеседі . Қолда бар даналар типологиялық тұрғыда мустьер дәуіріне жатып , сериялық нақты жүйе құрамай , ертепалеолиттік кезеңнің төменгі бөлігінен шықпай , табылған барлық коллекциялардың бөлігі болып саналады . Мұнда жаңқалар мен пластиналардағы жаңқалар ( 4 дана ) , біржақты қырғыштар , пышақ кіреді . Шығыңқы құралдардың призмалық пластиналарда дайындалған ұштықтар . Морфологиялық тұрғыда әр алуан топ болып қырғыштар құрайды , басқа топ ішіндегі периметрі бойынша ретуші бар соңғы , домалақталған лезвиясы бар , екі жақты қырғыштар бар . Майбұлақ индустриясында кескіштер ( жаңғы кескіштер ) көп . Тұрақ мекендеушілерінде тас бұйымдарды бифасты өңдеу кең тарамаған . III мәдени горизонтта жаңғы нуклеустарды микропластиналық техникасымен өңдеу байқалады . Микропластиналарды қыстырғыш ретінде қолдану тіркелмеген . Дайындамалар ең әуелі қырлары желінген микроүшкір және микротескіштерді алуға пайдаланылған . Аңғардағы шикізат көзі адамды қызықтырған себептісебепті , біз Қастек сайында барлау жұмыстарын жүргізген болатынбыз . Бұл жерден ертеректе жер бетінде жатқан тас құралдар орта және ұсақ өлшемдегі жартылайбірінші және екінші өндірістік сынықтар мен қалдықтар кездескен тас дәуірінің Қастек табылым орны анықталған болатын , Нуклеус тәріздес сынықтар - 20 дана . Олардың ішінде желвактын қабығы барлар да кездеседі . Сынықтар жартылай бірінші және екінші үлкен және Кіші артефактылармен бейнеленеді . Алғашқы жаңқалардың қалдықтарын сараптай келе ескеретін бір жайт , сынықтардың басым бөлігі жаңқалар мен техникалық сынықтар , қирандылардың қалдықтары көп кездеседі . Бірнеше дана пластиналар бар . Жаңқалау техникалық призма түріндегі пластина алу үрдісі кең қолданылмаған . Алдын ала болжам бойынша , тас құралдар типология негізінде кейінгі палеолиттің соңғы кезіне жатады . Төмендегідей алдын ала қорытындылар бойынша , Майбұлақ , Қастек тұрақтарының индустриясын зерттеу , бұлескерткіштер Сібір , Алтай , Орта Азиядағы кейінгі палеолиттік ескерткіштермен ұқсастығы байқалады . Биылғы жылғы жұмыстар мақсатына нысанды құландылардан тазарту , Сонымен қатар абсолюттік мерзімдеуін нақтылауға арналған жаңа ақпарат алу үшін тың қазба салу кірді . Қазба нысанның орта тұсына салынды . Көлемі 20 шаршы метрден астам аумақты қамтыды . Ең терең тұсы 8 мжетті . Шығыс қабырғасының кесіндісінің стритиграфиясы ақшыл - сары саздақ , кей жерлерде корбанатты қабаты бар тығыздау келген ақшыл - сары саздақ . Батыс бөлігінің жоғарғы тұстары құрылыс жұмыстарының әсерімен бұзылғанмен , бұл жерден 3 мәдени қабат анықталды . І мәдени қабаттың 37 бұйымнан тұратын тас құралдар коллекциясы табылды . Коллекция құрамында микропластиналарға арналған призма тәріздес және призмалық нуклеустар , жаңқалар , пластиналар , нуклеус тәріздес сынықтар , қырғыштар және микропластиналар . Горизонт төңірегінде кей жерлерінен көмір қалдықтары табылды . II мәдени горизонт

4,5(43 оценок)
Это интересно:
Новые ответы от MOGZ: Математика
logo
Вход Регистрация
Что ты хочешь узнать?
Спроси Mozg
Открыть лучший ответ