ответы прикрепил в виде картинки. Объяснения снизу.
Пошаговое объяснение:
1. Умножаешь все элементы матрица на -3;
2. Если матрица E - единичная матрица
-А - это умножение всех элементов матрицы А на -1.
2*B - все элементы матрицы B, умноженные на 2
-3*E - Диагональная матрица, умноженная на -1.
Потом суммируем каждый элемент подряд,
например элемент {1,1} равен -1+2-3=-2
3. Можно перемножать только матрицы у которых, количество строк = числу столбцов.
Можно перемножить только матрицы A и B, A и D, B и D. Остальные этому критерию не удовлетворяют. При перемножении матриц А и B, элемент {1,1} равен первая строка матрицы А умноженная на первый столбец матрицы B, т.е. 1*1+2*1+3*1=6; Например, для элемента {2,3} умножаем 2ую строку А на 3ий столбец B = 4*1+2*2+1*1=9; и т.д для всех матрицы.
4. Транспонированная матрица - матрица в которой столбцы поменяны местами со строками. или для квадратной матрицы можно представить симметричное отражение элементов относительно диагонали.
5. При транспонировании строки и столбцы меняются местами. было 2 столбца 3 строки. стало 3 столбца, 2 строки
6. Для нахождения определителя нужно разложить по строке (наиболее простой и часто используемый метод). Долго объяснять, посмотри пример.
Остальное тоже только по примерам. Руками не объяснишь

12 детей и 63 яблока
Пошаговое объяснение:
Пусть детей было всего х.
По условию задания, когда каждому стали раздавать по 5 яблок, то осталось 3 яблока, когда стали раздавать по 4 яблока, то осталось 15 яблок.
Составим равенство:
5*х + 3 = 4 * х + 15
5х - 4х = 15 - 3
х = 12 (детей)
Вычислим количество яблок:
5*12 + 3 = 4*12 + 15
63 = 63 (яблока)
Проверим:
5 * 12 = 60 - каждому из 12 детей досталось по 5 яблок и
63 - 60 = 3 яблока осталось
4 * 12 = 48 - каждому из 12 детей досталось по 4 яблока и
63 - 48 = 15 яблок осталось
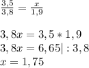
ответ: 1,75 см
Пошаговое объяснение:
Площадь прямоугольника рассчитывается по формуле:
S = a * b
где a - длинна, b - ширина
Пусть ширина второго прямоугольника будет x, тогда составим пропорцию:
ответ: ширина второго прямоугольника равна 1,75 см