М
Молодежь
К
Компьютеры-и-электроника
Д
Дом-и-сад
С
Стиль-и-уход-за-собой
П
Праздники-и-традиции
Т
Транспорт
П
Путешествия
С
Семейная-жизнь
Ф
Философия-и-религия
Б
Без категории
М
Мир-работы
Х
Хобби-и-рукоделие
И
Искусство-и-развлечения
В
Взаимоотношения
З
Здоровье
К
Кулинария-и-гостеприимство
Ф
Финансы-и-бизнес
П
Питомцы-и-животные
О
Образование
О
Образование-и-коммуникации
milanareemets
milanareemets
26.10.2020 16:51 •  Математика

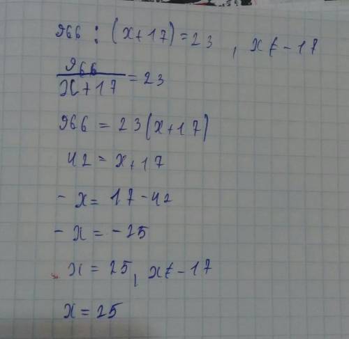
Давайте решать вместе (pls) : 966 разделить на (х+17)=23 решить, а то у меня совсем беда с

👇
Ответ:
IvanNesterenok
IvanNesterenok
26.10.2020

966/(x+17) = 23

x + 17 = 966/23

x + 17 = 42

x = 42 - 17 = 25

ответ: 25

4,7(12 оценок)
Ответ:
katerinamorozo2
katerinamorozo2
26.10.2020

ответ прикреплен.......


Давайте решать вместе (pls) : 966 разделить на (х+17)=23 решить, а то у меня совсем беда с
4,5(76 оценок)
Открыть все ответы
Ответ:
спрос3
спрос3
26.10.2020


Нужно -2 заменить на логарифм по основанию 1/2. Это будет логарифм четырех по основанию 1/2.

log₀₅(x²-2x-2)>log₀₅(4)

x²-2x-2<4; x²-2x-2>0

x²-6x-2<0; x²-2x-2>0 Чтобы решить систему нужно найти корни  трехчленов, показать их на координатных прямых. В первом неравенстве берем внутренний промежуток, а во втором внешние. и пишем их пересечение. Корни будут неудобные, т.к. дискриминанты 44,для первого и 12 - для второго. При переходе от логарифмического неравенства к алгебраическому знак меняем, т.к. основание логарифмов 0,5 меньше 1.

4,6(92 оценок)
Ответ:
alimzhanbolathan
alimzhanbolathan
26.10.2020

Пошаговое объяснение:

Первый выехал в 10-00 ср скоростью - 12 км /час

Второй выехал в 12-00 со скоростью - ? , на 3 км/час больше

Расстояние 60 км

Кто приедет раньше -?

1) Найдем какое время в пути был первый велосипедист

60 : 12 = 5 часов  был в пути первый велосипедист

2) Найдем скорость второго велосипедиста

12+3=15 км/час

3) Найдем какое время затратил второй велосипедист

60:15= 4 часа

Первый велосипедист приехал в пункт Б в

10 час +5 час = 15 часов

второй велосипедист приехал в пункт Б в

12 час +4 час = 16 часов

Соответственно:

первый велосипедист приехал в пункт Б раньше второго

4,8(2 оценок)
Это интересно:
Новые ответы от MOGZ: Математика
logo
Вход Регистрация
Что ты хочешь узнать?
Спроси Mozg
Открыть лучший ответ