М
Молодежь
К
Компьютеры-и-электроника
Д
Дом-и-сад
С
Стиль-и-уход-за-собой
П
Праздники-и-традиции
Т
Транспорт
П
Путешествия
С
Семейная-жизнь
Ф
Философия-и-религия
Б
Без категории
М
Мир-работы
Х
Хобби-и-рукоделие
И
Искусство-и-развлечения
В
Взаимоотношения
З
Здоровье
К
Кулинария-и-гостеприимство
Ф
Финансы-и-бизнес
П
Питомцы-и-животные
О
Образование
О
Образование-и-коммуникации
Scipelex76
Scipelex76
12.08.2020 07:31 •  Математика

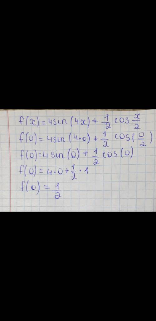
Знайте первісну функції f(x)=4sin4x+1/2cosx/2 графік якої проходить через точку А(пі/3;-1)

👇
Ответ:
Nazar0905
Nazar0905
12.08.2020

ответ:Вот ответ!!!!!!!!!!

Пошаговое объяснение:


Знайте первісну функції f(x)=4sin4x+1/2cosx/2 графік якої проходить через точку А(пі/3;-1)
4,4(30 оценок)
Открыть все ответы
Ответ:
ЯнаШемен
ЯнаШемен
12.08.2020
...он решил отрезать у квадрата сразу 2 угла, но на утро обнаружил, что план его снова провалился. Еще несколько ночей безжалостно кромсал квадрата треугольник, пока не задумал вселенское зло: сделать из квадрата треугольник. Вскоре после завершения пакостного плана, квадрат понял, кто был его обидчиком. Квадрат, теперь уже треугольник, не захотел больше дружить с треугольником, но и мстить не собирался. Он попросил своего лучшего друга - круга - сделать его обратно квадратным. Так и произошло. Треугольник понял, что не нужно делать себя совершенным за счет других и не делал больше зла никому.
4,7(8 оценок)
Ответ:
lera88273
lera88273
12.08.2020
1 вариант
У квадрата которого было четыре угла стало еще два и получился шести угольник Треугольник решил обогнать квадрат и тоже отрезал у себя 1 угол и получилось что сколько углов он себе не отрезал не как не получалось обогнать квадрат!Почему? Сам не понел треугольник и продолжал бродить по тредевятому царству 
Конец!!
2 вариант
Следующей ночью треугольник отрезал у него 2 угла , но на утро у квадрата стало только больше углов. Треугольник ещё сильнее рассердился ! Он был просто вне себя. Теперь он решил отрезать у него 3 угла и сделал это. Но увидев , что его проделки в 3 раз закончились безуспешно , треугольник спросил у квадрата почему же ничего ему не удаётся. Оказывается , отрезая углы квадрата , треугольник только прибавлял ему их и квадрат стал многоугольником ! 
3 вариант
 треугольник отрезал себе 2 угла и получилось что у треугольника и квадрата получилось одинаковое число углов. Они жили и никогда больше не ссорились!
4,6(78 оценок)
Новые ответы от MOGZ: Математика
logo
Вход Регистрация
Что ты хочешь узнать?
Спроси Mozg
Открыть лучший ответ