М
Молодежь
К
Компьютеры-и-электроника
Д
Дом-и-сад
С
Стиль-и-уход-за-собой
П
Праздники-и-традиции
Т
Транспорт
П
Путешествия
С
Семейная-жизнь
Ф
Философия-и-религия
Б
Без категории
М
Мир-работы
Х
Хобби-и-рукоделие
И
Искусство-и-развлечения
В
Взаимоотношения
З
Здоровье
К
Кулинария-и-гостеприимство
Ф
Финансы-и-бизнес
П
Питомцы-и-животные
О
Образование
О
Образование-и-коммуникации
Charafoxcoteyca34
Charafoxcoteyca34
25.07.2021 17:16 •  Математика

Нужно прорешать за 6 часов


Нужно прорешать за 6 часов

👇
Ответ:
Рома555555
Рома555555
25.07.2021

Пошаговое объяснение:

2.

y=x^2+1;y=0;x=-2;x=1;S=?\\S=\int\limits^1_{-2} {(x^2+1-0)} \, dx=(\frac{x^3}{3}+x)|_{-2}^1=\frac{1^3}{3}+1-(\frac{(-2)^3}{3}+(-2))=1+\frac{1}{3}-(-\frac{8}{3}-2)=\\=1+\frac{1}{3}-(-2\frac{2}{3}-2) =1+\frac{1}{3} +2\frac{2}{3}+2=3+3=6.

ответ: S=6 кв.ед.

3.

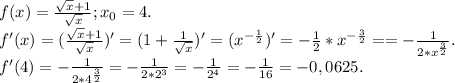
f(x)=\frac{\sqrt{x}+1 }{\sqrt{x} };x_0=4.\\f'(x)=(\frac{\sqrt{x}+1 }{\sqrt{x} })'=(1+\frac{1}{\sqrt{x} })'=(x^{-\frac{1}{2}} )'=-\frac{1}{2}*x^{-\frac{3}{2}}==-\frac{1}{2*x^{\frac{3}{2} } }.\\f'(4)=-\frac{1}{2*4^{\frac{3}{2} }}=- \frac{1}{2*2^3}=-\frac{1}{2^4} =-\frac{1}{16} =-0,0625.

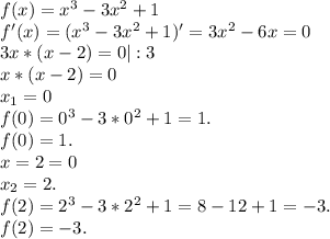
4.

f(x)=x^3-3x^2+1\\f'(x)=(x^3-3x^2+1)'=3x^2-6x=0\\3x*(x-2)=0|:3\\x*(x-2)=0\\x_1=0\\f(0)=0^3-3*0^2+1=1.\\f(0)=1.\\x=2=0\\x_2=2.\\f(2)=2^3-3*2^2+1=8-12+1=-3.\\f(2)=-3.

ответ: f(0)=1;f(2)=-3.

5.

Rсеч=4√5:2=2√5.

R²шара=4²+(2√5)²=16+4*5=16+20=36.

Rшара=√36=6 (см).

Rшара=6см.

Sпов. шара=4*π*R²=4*π*6²=4*π*36=144π (см²).

Vшара=4*π*R³/3=4*π*6³/3=4*π*216/3=4*π*72=288π (см³).

ответ: Sпов. шара=144π см², Vшара=288π см³.

4,4(91 оценок)
Открыть все ответы
Ответ:
Mollи
Mollи
25.07.2021
) В мешочке 3 желтых шарика. И если мы возьмем меньше трех за раз, то есть вероятность, что все они окажутся желтыми. Следовательно, чтобы быть уверенными в появлении красного шарика, нужно взять минимум 4.
б) Опять же, в мешочке два набора по три одноцветных шарика. И потому, чтобы с гарантией получить два разноцветных, нужно взять не меньше четырех.
в) Вероятность вытащить красный шарик для первого же шара равна 50% - 3/6. Следовательно, чтобы вытащенный шарик с гарантией не был красным только один - не брать шариков вообще.
ответ: а) 4. б) 4. в) 0.
4,4(50 оценок)
Ответ:
25.07.2021
1-объем бака
1/14-скорость наполнения через 1 трубу
1/21-скорость наполнения через 2 трубу
1/14+1/21=3/42+2/42=5/42-совместная скорость наполнения
1:5/42=42/5=8 2/5=8,4минуты-за столько

ответьте на вопрос задачи,если бак наполнится через первую трубу:
1)за 16 мин,через вторую -за 24 мин;
 1/16+1/24=3/48+2/48=5/48
1:5/48=48/5=9 3/5=9,6мин

2)за 18 мин,через вторую -за 36 мин;
1/18+1/36=2/36+1/36=3/36=1/12
1:1/12=12 мин

3)за 22 мин, через вторую -за 33мин;
1/22+1/33=3/66+2/66=5/66
1:5/66=66/5=13 1/5=13,2мин

4) за 26 мин,через вторую -за 39 мин.
1/26+1/39=3/78+2/78=5/78
1:5/78=78/5=15 3/5=15,6мин
4,7(64 оценок)
Это интересно:
Новые ответы от MOGZ: Математика
logo
Вход Регистрация
Что ты хочешь узнать?
Спроси Mozg
Открыть лучший ответ