М
Молодежь
К
Компьютеры-и-электроника
Д
Дом-и-сад
С
Стиль-и-уход-за-собой
П
Праздники-и-традиции
Т
Транспорт
П
Путешествия
С
Семейная-жизнь
Ф
Философия-и-религия
Б
Без категории
М
Мир-работы
Х
Хобби-и-рукоделие
И
Искусство-и-развлечения
В
Взаимоотношения
З
Здоровье
К
Кулинария-и-гостеприимство
Ф
Финансы-и-бизнес
П
Питомцы-и-животные
О
Образование
О
Образование-и-коммуникации
лох251
лох251
07.09.2021 22:49 •  Математика

Вычислите производную функции


Вычислите производную функции

👇
Ответ:
polyaХеХеХе
polyaХеХеХе
07.09.2021

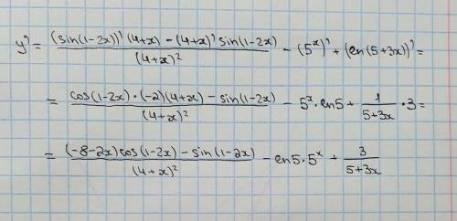
решение на фотографии


Вычислите производную функции
4,4(20 оценок)
Открыть все ответы
Ответ:
Ste5an
Ste5an
07.09.2021
1. 1;2;4;5;8;10;20;40;(ето составное число);
2.  простое число ето число которое имеет не больше двух делителей,а составное ето число которое имеет больше двух делителей;
например число 11 имеет только два  делители- 1 и 11;
3.на три делятся все те числа сума цифр которих делится на 3.
тогда на 3 делится числа-312,405.
на девять тоже самое ,тоисть на 9 делится все те числа сумма цифр которих делится а 9
на 9 делится число 405;
4.а)число которие делятся на два заканчиваются на парную цифру или ноль тоисть  числа 120,142,17 делятся на два;
б)на 5 делятся все те числа которие заканчиваются на ноль или на 5 ето значит что на пять делятся числа-115,120,170;
4,6(67 оценок)
Ответ:
yura204080
yura204080
07.09.2021
Находим скорость сближения, для чего нужно сложить скорости  пешехода и велосипедиста: 5 км/ч  + 15 км./ч. = 20 км/ч. Зная общее расстояние и скорость сближения,  рассчитаем время встречи: 40 (км) : 20 (км/ч) = 2 (ч.)
При этом пешеход до встречи км.= 5 ( км/ч)  х 2 (ч.), а велосипедист проехал  30 км.= 15 (км/ч) х 2 (ч.)                                                                            
ответ: пешеход и велосипедист, отправившиеся  навстречу друг к другу из двух пунктов, расстояние между которыми 40 км.,  встретятся через 2 часа
4,6(99 оценок)
Новые ответы от MOGZ: Математика
logo
Вход Регистрация
Что ты хочешь узнать?
Спроси Mozg
Открыть лучший ответ