М
Молодежь
К
Компьютеры-и-электроника
Д
Дом-и-сад
С
Стиль-и-уход-за-собой
П
Праздники-и-традиции
Т
Транспорт
П
Путешествия
С
Семейная-жизнь
Ф
Философия-и-религия
Б
Без категории
М
Мир-работы
Х
Хобби-и-рукоделие
И
Искусство-и-развлечения
В
Взаимоотношения
З
Здоровье
К
Кулинария-и-гостеприимство
Ф
Финансы-и-бизнес
П
Питомцы-и-животные
О
Образование
О
Образование-и-коммуникации
K12311
K12311
21.03.2021 06:30 •  Математика

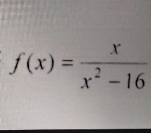
Исследуйте функцию и постройте график. Ребят надо


Исследуйте функцию и постройте график. Ребят надо

👇
Открыть все ответы
Ответ:
ibrohim0775
ibrohim0775
21.03.2021
Ярославль — один из старейших русских городов, основанный в XI веке и достигший своего расцвета в XVII веке; в 2010 году город отметил своё тысячелетие. Ярославль традиционно считается одним из основных объектов Золотого кольца России.
Первые каменные постройки в Ярославле появились незадолго до монгольского нашествия, в 1210-е годы, по воле старшего сына Всеволода Большое Гнездо — Константина.
Про транспорт - у них был свой завод и они разрабатывали транспорт для себя и других городов,выпускают и до сих пор двигатели ЯМЗ.
4,4(13 оценок)
Ответ:
Auebandit1337
Auebandit1337
21.03.2021
1отряд(малиновые галстуки) - кинокомпания "мосфильм" творческое объединение "лепота" мы с первого дубля снимаем, второму не быть никогда 2 отряд (фисташковые галстуки) - кинокомпания "walt disney" творческое объединение "дядя яков" акуна матата и дядюшка яков акуна матата понятно без знаков. мы мультпликаторы. дружно - хей хей с акуной мататой по жизни disney 3 отряд (розовые галстуки) - кинокомпания "dream works" творческое объединение "бамбук" зри в корень - будь бамбуча 4 отряд (оранжевые галстуки) - кинокомпания "антон палыч" творческое объединение "союзмультфильм" рыжий цвет, оранжевое настроение - залог веселья и везенья. 5 отряд (синие галстуки) - кинокомпания "the lumier brothers first film" творческое объединение "кандела" синематограф - семейное дело прославило брата люмьера власть получили над светом и тенью изобретенью. 6 отряд (бордовые галстуки) - кинокомпания "одесская киностудия" творческое объединение "дети гроссмана" 32 прекрасных кадра за одним идёт другой не сидится нам на месте и не нам покой.
4,8(38 оценок)
Это интересно:
Новые ответы от MOGZ: Математика
logo
Вход Регистрация
Что ты хочешь узнать?
Спроси Mozg
Открыть лучший ответ